958 Check Completeness of a Binary Tree
Given the root of a binary tree, determine if it is a complete binary tree.
In a complete binary tree, every level, except possibly the last, is completely filled, and all nodes in the last level are as far left as possible. It can have between 1 and 2h nodes inclusive at the last level h.
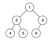
Example 1:

Input: root = [1,2,3,4,5,6]
Output: true
Explanation: Every level before the last is full (ie. levels with node-values {1} and {2, 3}), and all nodes in the last level ({4, 5, 6}) are as far left as possible.
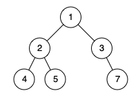
Example 2:

Input: root = [1,2,3,4,5,null,7]
Output: false
Explanation: The node with value 7 isn't as far left as possible.
Solution:
/**
* Definition for a binary tree node.
* public class TreeNode {
* int val;
* TreeNode left;
* TreeNode right;
* TreeNode() {}
* TreeNode(int val) { this.val = val; }
* TreeNode(int val, TreeNode left, TreeNode right) {
* this.val = val;
* this.left = left;
* this.right = right;
* }
* }
*/
class Solution {
public boolean isCompleteTree(TreeNode root) {
if (root == null){
return true;
}
Queue<TreeNode> queue = new LinkedList<TreeNode>();
boolean flag = false;
queue.offer(root);
while(!queue.isEmpty()){
TreeNode cur = queue.poll();
if (cur.left == null){
flag = true;
}else if (flag){
return false;
}else{
queue.offer(cur.left);
}
if (cur.right == null){
flag = true;
}else if (flag){
return false;
}else{
queue.offer(cur.right);
}
}
return true;
}
}
// TC: O(n)
// SC: O(n)