105. Construct Binary Tree from Preorder and Inorder Traversal
Given two integer arrays preorder and inorder where preorder is the preorder traversal of a binary tree and inorder is the inorder traversal of the same tree, construct and return the binary tree.
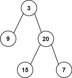
Example 1:

Example 2:
Solution:
想要独一无二地还原,必须要有in-order
Given PreOrder root left right
abc -> preOrderArray left right preOrder[left] -> root
Given PostOrder left right root (root最后去的)
cba preOrderArray left right postOrder[right] -> root
=>
a
/ \
b c
left right
preOrder [a, b, c] [0, preOrder.length-1] -> preOrder[0] = preOrder[left]
postOrder [b, c, a] [0, postOrder.length-1] -> postOrder[postOrder.length -1] = postOrder[right]
preorder = [3,9,20,15,7]
l r
root= preorder[left]
0 1 2 3 4
inorder = [9,3,15,20,7]
l r
hashmap: <9,0> <3,1> <15,2>, <20, 3>, <7,4>
-> indexofMid = 1
root.left = 1-1,
/**
* Definition for a binary tree node.
* public class TreeNode {
* int val;
* TreeNode left;
* TreeNode right;
* TreeNode() {}
* TreeNode(int val) { this.val = val; }
* TreeNode(int val, TreeNode left, TreeNode right) {
* this.val = val;
* this.left = left;
* this.right = right;
* }
* }
*/
class Solution {
public TreeNode buildTree(int[] preorder, int[] inorder) {
// base case
if (preorder == null || preorder.length == 0){
return null;
}
if (preorder.length == 1){
return new TreeNode(preorder[0]);
}
Map<Integer, Integer> inIndex = new HashMap<Integer, Integer>(); // 预分配空间
for (int i = 0; i < inorder.length; i++){
inIndex.put(inorder[i], i);
}
int preLeft = 0;
int preRight = preorder.length - 1;
int inLeft = 0;
int inRight = inorder.length - 1;
return helper(preorder, inIndex, preLeft, preRight, inLeft, inRight); // 闭区间
}
private TreeNode helper(int[] preorder, Map<Integer,Integer> inIndex, int preLeft, int preRight, int inLeft, int inRight){
if (inLeft> inRight){
return null;
}
TreeNode root = new TreeNode(preorder[preLeft]);
int inMid = inIndex.get(preorder[preLeft]);
root.left = helper(preorder, inIndex, preLeft + 1, preLeft + inMid - inLeft, inLeft, inMid - 1);
root.right = helper(preorder, inIndex, preLeft + inMid - inLeft + 1, preRight, inMid +1, inRight);
return root;
}
}
// TC: O(N)
// SC: O(n)
/*
pre [3, 9, 20, 15, 7]
l r pre[l] = root
l nr left part
ln r right part
in [9, 3, 15, 20, 7]
l m r
l
nr
inr > l
return null
map<Integer, Integer> in[i], i
*/
/**
* Definition for a binary tree node.
* public class TreeNode {
* int val;
* TreeNode left;
* TreeNode right;
* TreeNode() {}
* TreeNode(int val) { this.val = val; }
* TreeNode(int val, TreeNode left, TreeNode right) {
* this.val = val;
* this.left = left;
* this.right = right;
* }
* }
*/
class Solution {
// Mehthod 1: Utilizing the inOrder sequence to determine
// the size of left/right subtrees.
public TreeNode buildTree(int[] preorder, int[] inorder) {
// base case
if (preorder == null || preorder.length == 0){
return null;
}
if (preorder.length == 1){
return new TreeNode(preorder[0]);
}
// Assumptions: pre, in are not null, there is no duplicates
// in the binary tree, the length of pre and in are guaranteed
// to be the same
Map<Integer, Integer> inIndex = indexMap(inorder);
return helper(preorder, inIndex, 0, inorder.length - 1, 0, preorder.length -1);
}
private Map<Integer, Integer> indexMap(int[] in){
Map<Integer, Integer> map = new HashMap<>();
for (int i = 0; i < in.length; i++){
map.put(in[i], i);
}
return map;
}
private TreeNode helper(int[] pre, Map<Integer, Integer> inIndex, int inLeft, int inRight, int preLeft, int preRight){
if (inLeft > inRight){
return null;
}
TreeNode root = new TreeNode(pre[preLeft]);
// get the position of the root in inOrder sequence, so that we will know
// the size of left/right subtrees.
int inMid = inIndex.get(root.val);
root.left = helper(pre, inIndex, inLeft, inMid - 1, preLeft + 1, preLeft + inMid - inLeft);
root.right = helper(pre, inIndex, inMid + 1, inRight, preLeft + inMid - inLeft + 1, preRight);
return root;
}
}
// TC: O(n)
// SC: O(n)
/**
* Definition for a binary tree node.
* public class TreeNode {
* int val;
* TreeNode left;
* TreeNode right;
* TreeNode() {}
* TreeNode(int val) { this.val = val; }
* TreeNode(int val, TreeNode left, TreeNode right) {
* this.val = val;
* this.left = left;
* this.right = right;
* }
* }
*/
class Solution {
// Method 2: Another Linear Solution with traversing and constructing
// the binary tree using preOrder and inOrder at the same time
public TreeNode buildTree(int[] preorder, int[] inorder) {
// Assumptions: pre, in are not null, there is no duplicates
// in the binary tree, the length of pre and in are guaranteed
// to be the same.
int[] preIndex = new int[]{0};
int[] inIndex = new int[]{0};
return helper(preorder, inorder, preIndex, inIndex, Integer.MAX_VALUE);
}
private TreeNode helper(int[] pre, int[] in, int[] preIndex, int[] inIndex, int target){
if (inIndex[0] >= in.length || in[inIndex[0]] == target){
return null;
}
TreeNode root = new TreeNode(pre[preIndex[0]]);
preIndex[0]++;
root.left = helper(pre, in, preIndex, inIndex, root.val);
inIndex[0]++;
root.right = helper(pre, in, preIndex, inIndex, target);
return root;
}
}
前序遍历: 按照[根-左子树-右子树]的顺序遍历二叉树.
中序遍历: 按照[左子树-根-右子树]的顺序遍历二叉树.
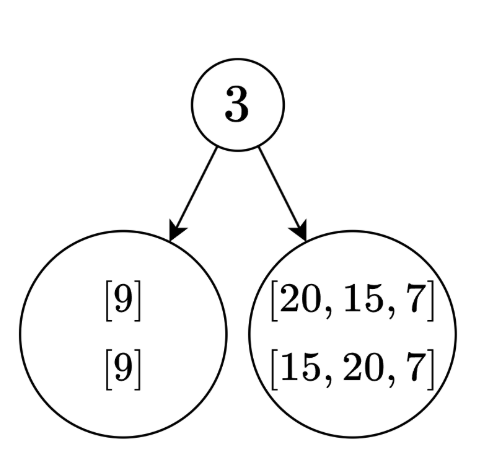
来看看示例1是怎么生成这棵二叉树的
[3, 9, 20, 15, 7] 前序遍历: 根-左-右
[9, 3, 15, 20, 7] 中序遍历: 左-根-右
preorder[0]是二叉树的根
[9, 3, 15, 20, 7] 在中序遍历中找到3的位置, 3左边的数都在左子树中, 3右边的数都在右子树中.这样就知道了左右子树的大小.
[3, 9, 20, 15, 7] 根据左右子树的大小, 可以知道在前序遍历中左右子树对应着子树组[9]和[20, 15, 7]
现在我们知道了左右子树的前序遍历和中序遍历, 这是一个和原问题一样的子问题, 可以用递归解决.

递归结束后.
递归边界: 如果preorder的长度是0, 对应着空节点, 返回空.
/**
* Definition for a binary tree node.
* public class TreeNode {
* int val;
* TreeNode left;
* TreeNode right;
* TreeNode() {}
* TreeNode(int val) { this.val = val; }
* TreeNode(int val, TreeNode left, TreeNode right) {
* this.val = val;
* this.left = left;
* this.right = right;
* }
* }
*/
class Solution {
public TreeNode buildTree(int[] preorder, int[] inorder) {
// [3, 9, 20, 15, 7 ]
// pl
// pr
// [9, 3, 15, 20, 7 ]
// il
// ir
// m
if (preorder == null || preorder.length == 0){
return null;
}
int n = preorder.length;
if (n == 1){
return new TreeNode(preorder[0]);
}
Map<Integer, Integer> inIndex = new HashMap<>();
for (int i = 0; i < n; i++){
inIndex.put(inorder[i], i);
}
int preLeft = 0;
int preRight = n - 1;
int inLeft = 0;
int inRight = n - 1;
return dfs(preorder, inorder,inIndex, preLeft, preRight, inLeft, inRight);
}
// [3, 9, 20, 15, 7 ]
// pl
// pr
// []
// 0. 1. 2. 3 4
// [9, 3, 15, 20, 7 ]
// il
// ir
// m
private TreeNode dfs(int[] preorder, int[] inorder, Map<Integer, Integer> inIndex, int preLeft, int preRight, int inLeft, int inRight){
if (preLeft > preRight){
return null;
}
int curRootVal = preorder[preLeft];
TreeNode root = new TreeNode(curRootVal);
int leftTreeBoundary = inIndex.get(curRootVal);
int leftTreeCount = leftTreeBoundary - inLeft; // 1 -0 // 1
root.left = dfs(preorder, inorder, inIndex, preLeft + 1, preLeft + leftTreeCount, inLeft, leftTreeBoundary -1);
root.right = dfs(preorder, inorder, inIndex, preLeft + leftTreeCount + 1, preRight, leftTreeBoundary + 1, inRight);
return root;
}
}
复杂度分析
- 时间复杂度:O(n),其中 n 为 preorder 的长度。递归 O(n) 次,每次只需要 O(1) 的时间。
- 空间复杂度:O(n)。
/**
* Definition for a binary tree node.
* public class TreeNode {
* int val;
* TreeNode left;
* TreeNode right;
* TreeNode() {}
* TreeNode(int val) { this.val = val; }
* TreeNode(int val, TreeNode left, TreeNode right) {
* this.val = val;
* this.left = left;
* this.right = right;
* }
* }
*/
class Solution {
public TreeNode buildTree(int[] preorder, int[] inorder) {
if (preorder == null){
return null;
}
int n = preorder.length;
if (n == 0){
return null;
}
if (n == 1){
return new TreeNode(preorder[0]);
}
Map<Integer, Integer> inIndex = new HashMap<>();
for (int i = 0; i < n; i++){
inIndex.put(inorder[i], i);
}
int preLeft = 0;
int preRight = n - 1;
int inLeft = 0;
int inRight = n - 1;
return dfs(preorder, inorder, inIndex, preLeft, preRight, inLeft, inRight);
}
private TreeNode dfs(int[] preorder, int[] inorder, Map<Integer, Integer> inIndex, int preLeft, int preRight, int inLeft, int inRight){
if (preLeft > preRight){
return null;
}
int curRootVal = preorder[preLeft];
TreeNode root = new TreeNode(curRootVal);
// [3, 9, 20, 15, 7]
// pl
// pr
// [9, 3, 15, 20, 7]
// il
// ir
// b
int leftTreeBoundary = inIndex.get(curRootVal);
int leftTreeCount = leftTreeBoundary - inLeft; // 1- 0 = 1
root.left = dfs(preorder, inorder, inIndex, preLeft + 1, preLeft + leftTreeCount, inLeft, leftTreeBoundary - 1);
root.right = dfs(preorder, inorder, inIndex, preLeft + leftTreeCount + 1, preRight, leftTreeBoundary + 1, inRight);
return root;
}
}
// TC: O(n)
// SC: O(n)