114. Flatten Binary Tree to Linked List
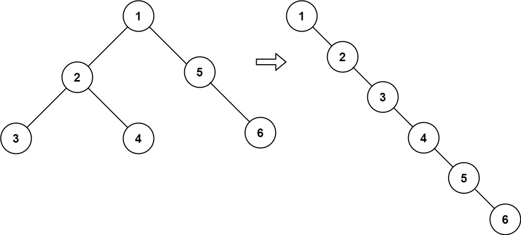
Given the root of a binary tree, flatten the tree into a "linked list":
- The "linked list" should use the same
TreeNodeclass where therightchild pointer points to the next node in the list and theleftchild pointer is alwaysnull. - The "linked list" should be in the same order as a pre-order traversal of the binary tree.
Example 1:

Example 2:
Example 3:
Solution:
方法一:头插法
采用头插法构建链表,也就是从节点 6 开始,在 6 的前面插入 5,在 5 的前面插入 4,依此类推。
为此,要按照 6→5→4→3→2→1 的顺序访问节点。如何遍历这棵树,才能实现这个顺序?
按照右子树 - 左子树 - 根的顺序 DFS 这棵树。
DFS 的同时,记录当前链表的头节点为 head。一开始 head 是空节点。
具体来说:
如果当前节点为空,返回。 递归右子树。 递归左子树。 把 root.left 置为空。 头插法,把 root 插在 head 的前面,也就是 root.right=head。 现在 root 是链表的头节点,把 head 更新为 root。
/**
* Definition for a binary tree node.
* public class TreeNode {
* int val;
* TreeNode left;
* TreeNode right;
* TreeNode() {}
* TreeNode(int val) { this.val = val; }
* TreeNode(int val, TreeNode left, TreeNode right) {
* this.val = val;
* this.left = left;
* this.right = right;
* }
* }
*/
class Solution {
private TreeNode head;
public void flatten(TreeNode root) {
if (root == null){
return;
}
flatten(root.right);
flatten(root.left);
root.left = null;
root.right = head; // 头插法, 相当于链表的root.next = head
head = root; // 现在链表头节点是 root
}
}
复杂度分析
- 时间复杂度:O(n),其中 n 是二叉树的节点个数。
- 空间复杂度:O(n)。递归需要 O(n) 的栈空间。
方法二:分治
方法一需要用到一个在 DFS 之外的变量 head,能否只在 DFS 中解决呢?
考虑分治,假如我们计算出了 root=1 左子树的链表 2→3→4,以及右子树的链表 5→6,那么接下来只需要穿针引线,把节点 1 和两条链表连起来:
先把 2→3→4 和 5→6 连起来,也就是左子树链表尾节点 4 的 right 更新为节点 5(即 root.right),得到 2→3→4→5→6。 然后把 1 和 2→3→4→5→6 连起来,也就是节点 1 的 right 更新为节点 2(即 root.left),得到 1→2→3→4→5→6。 最后把 root.left 置为空。 上面的过程,我们需要知道左子树链表的尾节点 4。所以 DFS 需要返回链表的尾节点。
链表合并完成后,返回合并后的链表的尾节点,也就是右子树链表的尾节点。如果右子树是空的,则返回左子树链表的尾节点。如果左右子树都是空的,返回当前节点。
/**
* Definition for a binary tree node.
* public class TreeNode {
* int val;
* TreeNode left;
* TreeNode right;
* TreeNode() {}
* TreeNode(int val) { this.val = val; }
* TreeNode(int val, TreeNode left, TreeNode right) {
* this.val = val;
* this.left = left;
* this.right = right;
* }
* }
*/
class Solution {
public void flatten(TreeNode root) {
dfs(root);
}
private TreeNode dfs(TreeNode root){
if (root == null){
return null;
}
TreeNode leftTail = dfs(root.left);
TreeNode rightTail = dfs(root.right);
if (leftTail != null){
leftTail.right = root.right; // 左边树链表 -> 右子树链表
root.right = root.left; // 当前节点 -> 左右子树合并后的链表
root.left = null;
}
if (rightTail != null){
return rightTail;
}else if (leftTail != null){
return leftTail;
}else{
return root;
}
}
}
// TC: O(n)
// SC: O(n)
/**
* Definition for a binary tree node.
* public class TreeNode {
* int val;
* TreeNode left;
* TreeNode right;
* TreeNode() {}
* TreeNode(int val) { this.val = val; }
* TreeNode(int val, TreeNode left, TreeNode right) {
* this.val = val;
* this.left = left;
* this.right = right;
* }
* }
*/
class Solution {
public void flatten(TreeNode root) {
if (root == null){
return;
}
TreeNode[] prev = new TreeNode[1];
helper(root, prev);
return;
}
private static void helper(TreeNode root, TreeNode[] prev){
if (root == null){
return;
}
TreeNode leftNode = root.left; // because leftChild can be changed
TreeNode rightNode = root.right;
if (prev[0] != null){ //if: root is the 1st node to visit
prev[0].right = root;
}
root.left = null; // OR = prev[0] if we need to make it a doubly linked list
prev[0] = root;
helper(leftNode, prev);
helper(rightNode, prev);
}
}
// TC: O(n)
// SC: O(n)