429. N-ary Tree Level Order Traversal
Given an n-ary tree, return the level order traversal of its nodes' values.
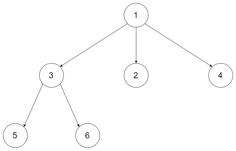
Nary-Tree input serialization is represented in their level order traversal, each group of children is separated by the null value (See examples).
Example 1:

Example 2:

Input: root = [1,null,2,3,4,5,null,null,6,7,null,8,null,9,10,null,null,11,null,12,null,13,null,null,14]
Output: [[1],[2,3,4,5],[6,7,8,9,10],[11,12,13],[14]]
Constraints:
- The height of the n-ary tree is less than or equal to
1000 - The total number of nodes is between
[0, 104]
Solution:
/*
// Definition for a Node.
class Node {
public int val;
public List<Node> children;
public Node() {}
public Node(int _val) {
val = _val;
}
public Node(int _val, List<Node> _children) {
val = _val;
children = _children;
}
};
*/
class Solution {
public List<List<Integer>> levelOrder(Node root) {
List<List<Integer>> result = new ArrayList<>();
if (root == null){
return result;
}
Deque<Node> queue = new ArrayDeque<>();
queue.offerLast(root);
int level = 0;
while(!queue.isEmpty()){
int curLevelSize = queue.size();
if (result.size() <= level){
result.add(new ArrayList<>());
}
for (int i = 0; i < curLevelSize; i++){
Node cur = queue.pollFirst();
result.get(level).add(cur.val);
for (Node child : cur.children){
queue.offerLast(child);
}
}
level++;
}
return result;
}
}
// TC: O(n)
// SC: O(n)