156 Binary Tree Upside Down
Given the root of a binary tree, turn the tree upside down and return the new root.
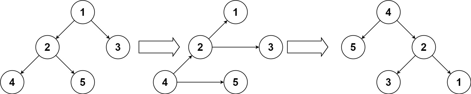
You can turn a binary tree upside down with the following steps:
- The original left child becomes the new root.
- The original root becomes the new right child.
- The original right child becomes the new left child.

The mentioned steps are done level by level. It is guaranteed that every right node has a sibling (a left node with the same parent) and has no children.
Example 1:

Example 2:
Example 3:

/**
* Definition for a binary tree node.
* public class TreeNode {
* int val;
* TreeNode left;
* TreeNode right;
* TreeNode() {}
* TreeNode(int val) { this.val = val; }
* TreeNode(int val, TreeNode left, TreeNode right) {
* this.val = val;
* this.left = left;
* this.right = right;
* }
* }
*/
class Solution {
public TreeNode upsideDownBinaryTree(TreeNode root) {
// base case
if (root == null || root.left == null){
return root;
}
TreeNode newRoot = upsideDownBinaryTree(root.left);
root.left.left = root.right;
root.left.right = root;
root.left = null;
root.right = null;
return newRoot;
}
}
// TC: O(n)
// SC: O(n)