530. Minimum Absolute Difference in BST
Given the root of a Binary Search Tree (BST), return the minimum absolute difference between the values of any two different nodes in the tree.
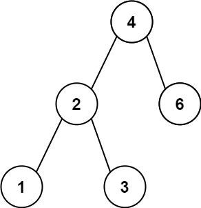
Example 1:

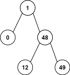
Example 2:

Constraints:
- The number of nodes in the tree is in the range
[2, 104]. 0 <= Node.val <= 105
Note: This question is the same as 783: https://leetcode.com/problems/minimum-distance-between-bst-nodes/
Solution:
/**
* Definition for a binary tree node.
* public class TreeNode {
* int val;
* TreeNode left;
* TreeNode right;
* TreeNode() {}
* TreeNode(int val) { this.val = val; }
* TreeNode(int val, TreeNode left, TreeNode right) {
* this.val = val;
* this.left = left;
* this.right = right;
* }
* }
*/
class Solution {
private int result = Integer.MAX_VALUE;
private int pre = Integer.MIN_VALUE /2;
public int getMinimumDifference(TreeNode root) {
dfs(root);
return result;
}
private void dfs(TreeNode node) {
if (node == null){
return;
}
dfs(node.left);
result = Math.min(result, node.val - pre);
pre = node.val;
dfs(node.right);
}
}
// TC: O(n)
// SC: O(n)
示例 1,把数字排序后,得到 [1,2,3,4,6]。最小差值一定是相邻两个数的差值。
由于二叉搜索树的中序遍历得到的序列是有序的,我们可以计算中序遍历中的相邻两数的差值,取最小值,即为答案。
中序遍历:左子树 → 根 → 右子树。
复杂度分析 时间复杂度:O(n),其中 n 为二叉搜索树的节点个数。 空间复杂度:O(n)。最坏情况下,二叉搜索树退化成一条链,递归需要 O(n) 的栈空间。
/**
* Definition for a binary tree node.
* public class TreeNode {
* int val;
* TreeNode left;
* TreeNode right;
* TreeNode() {}
* TreeNode(int val) { this.val = val; }
* TreeNode(int val, TreeNode left, TreeNode right) {
* this.val = val;
* this.left = left;
* this.right = right;
* }
* }
*/
class Solution {
private int result = Integer.MAX_VALUE;
private int pre = Integer.MIN_VALUE / 2; // 防止减法溢出
public int getMinimumDifference(TreeNode root) {
dfs(root);
return result;
}
private void dfs(TreeNode node){
if (node == null){
return;
}
dfs(node.left);
int cur = node.val;
int curAbsolute = Math.abs(cur - pre);
result = Math.min(curAbsolute, result);
pre = node.val;
dfs(node.right);
}
}
// TC: O(n)
// SC: O(n)