230. Kth Smallest Element in a BST
Given the root of a binary search tree, and an integer k, return the kth smallest value (1-indexed) of all the values of the nodes in the tree.
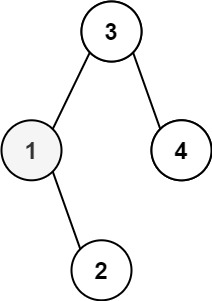
Example 1:

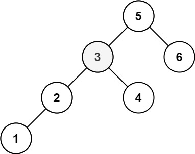
Example 2:

Solution:
由于中序遍历就是在从小到大遍历节点值,所以遍历到的第 k 个节点值就是答案。
在中序遍历,即「左-根-右」的过程中,每次递归完左子树,就把 k 减少 1,表示我们按照中序遍历访问到了一个节点。如果减一后 k 变成 0,那么答案就是当前节点的值,用一个外部变量 ans 记录。
/**
* Definition for a binary tree node.
* public class TreeNode {
* int val;
* TreeNode left;
* TreeNode right;
* TreeNode() {}
* TreeNode(int val) { this.val = val; }
* TreeNode(int val, TreeNode left, TreeNode right) {
* this.val = val;
* this.left = left;
* this.right = right;
* }
* }
*/
class Solution {
private int result;
private int k;
public int kthSmallest(TreeNode root, int k) {
this.k = k;
dfs(root);
return result;
}
private void dfs(TreeNode node){
if (node == null || k == 0){
return;
}
dfs(node.left);// left
k--;
if (k == 0){
result = node.val; // root
}
dfs(node.right); // right
}
}
// TC: O(n)
// SC: O(n)
复杂度分析 时间复杂度:O(n),其中 n 是二叉树的大小(节点个数)。 空间复杂度:O(h),其中 h 是树高,递归需要 O(h) 的栈空间。最坏情况下树是一条链,h=n,空间复杂度为 O(n)。
/**
* Definition for a binary tree node.
* public class TreeNode {
* int val;
* TreeNode left;
* TreeNode right;
* TreeNode() {}
* TreeNode(int val) { this.val = val; }
* TreeNode(int val, TreeNode left, TreeNode right) {
* this.val = val;
* this.left = left;
* this.right = right;
* }
* }
*/
class Solution {
public int kthSmallest(TreeNode root, int k) {
if (root == null){
return -1;
}
PriorityQueue<TreeNode> maxHeap = new PriorityQueue<TreeNode>(new Comparator<TreeNode>(){
@Override
public int compare(TreeNode t1, TreeNode t2){
if (t1.val > t2.val){
return -1;
}else if (t1.val == t2.val){
return 0;
}else{
return 1;
}
}
});
DFS(root, maxHeap, k);
return maxHeap.poll().val;
}
private void DFS(TreeNode root, PriorityQueue<TreeNode> maxHeap, int k){
if (root == null){
return;
}
if (maxHeap.size() < k){
maxHeap.offer(root);
}else if (maxHeap.peek().val > root.val){
maxHeap.poll();
maxHeap.offer(root);
}
DFS(root.left, maxHeap, k);
DFS(root.right, maxHeap, k);
}
}
//TC: O(n)
//SC: O(n)
/**
* Definition for a binary tree node.
* public class TreeNode {
* int val;
* TreeNode left;
* TreeNode right;
* TreeNode() {}
* TreeNode(int val) { this.val = val; }
* TreeNode(int val, TreeNode left, TreeNode right) {
* this.val = val;
* this.left = left;
* this.right = right;
* }
* }
*/
class Solution {
public int kthSmallest(TreeNode root, int k) {
PriorityQueue<Integer> pq = new PriorityQueue<Integer>(Collections.reverseOrder()); // max heap 初始化为最大堆
helper(root, k, pq);
return pq.poll();
}
private void helper(TreeNode root, int k, PriorityQueue<Integer> pq){
if (root == null){
return;
}
if (pq.size() < k){ // If size is not k yet then add any element
pq.add(root.val);
}else if (root.val < pq.peek()){
pq.poll(); // pop the top
pq.add(root.val); // add cur value to pq
}
helper(root.left, k, pq);
helper(root.right, k, pq);
return;
}
}
//Time complexity: O(n) + O(log(n)) = O(n)
//Space complexity: O(n)