1059. All Paths from Source Lead to Destination
Given the edges of a directed graph where edges[i] = [ai, bi] indicates there is an edge between nodes ai and bi, and two nodes source and destination of this graph, determine whether or not all paths starting from source eventually, end at destination, that is:
- At least one path exists from the
sourcenode to thedestinationnode - If a path exists from the
sourcenode to a node with no outgoing edges, then that node is equal todestination. - The number of possible paths from
sourcetodestinationis a finite number.
Return true if and only if all roads from source lead to destination.
Example 1:

Input: n = 3, edges = [[0,1],[0,2]], source = 0, destination = 2
Output: false
Explanation: It is possible to reach and get stuck on both node 1 and node 2.
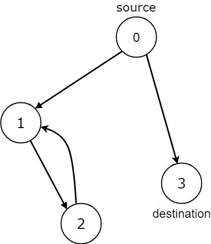
Example 2:

Input: n = 4, edges = [[0,1],[0,3],[1,2],[2,1]], source = 0, destination = 3
Output: false
Explanation: We have two possibilities: to end at node 3, or to loop over node 1 and node 2 indefinitely.
Example 3:

Constraints:
1 <= n <= 1040 <= edges.length <= 104edges.length == 20 <= ai, bi <= n - 10 <= source <= n - 10 <= destination <= n - 1- The given graph may have self-loops and parallel edges.
Solution:
class Solution {
public boolean leadsToDestination(int n, int[][] edges, int source, int destination) {
Map<Integer, List<Integer>> graph = new HashMap<>();
for (int[] e : edges){
int from = e[0];
int to = e[1];
graph.putIfAbsent(from, new ArrayList<>());
graph.get(from).add(to);
}
Set<Integer> visited = new HashSet<>();
Set<Integer> curPath = new HashSet<>();
return dfs(n, graph, source, destination, visited, curPath);
}
private boolean dfs(int n, Map<Integer, List<Integer>> graph, int source, int destination, Set<Integer> visited, Set<Integer> curPath){
if (!graph.containsKey(source)){
return source == destination;
}
if (visited.contains(source)){
return true;
}
if (curPath.contains(source)){
return false;
}
curPath.add(source);
// if (graph.get(source).size() == 0){
// return false;
// }
for (int next : graph.get(source)){
if (dfs(n, graph, next, destination, visited, curPath) == false){
return false;
}
}
curPath.remove(source);
visited.add(source);
return true;
}
}
// TC: O(V+E)
// SC: O(V)