92. Reverse Linked List II
Given the head of a singly linked list and two integers left and right where left <= right, reverse the nodes of the list from position left to position right, and return the reversed list.
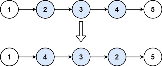
Example 1:

Example 2:
Constraints:
- The number of nodes in the list is
n. 1 <= n <= 500-500 <= Node.val <= 5001 <= left <= right <= n
Follow up: Could you do it in one pass?
Solution:
/**
* Definition for singly-linked list.
* public class ListNode {
* int val;
* ListNode next;
* ListNode() {}
* ListNode(int val) { this.val = val; }
* ListNode(int val, ListNode next) { this.val = val; this.next = next; }
* }
*/
class Solution {
public ListNode reverseBetween(ListNode head, int left, int right) {
ListNode dummy = new ListNode(-1);
dummy.next = head;
ListNode p0 = dummy;
for (int i = 0; i < left - 1; i++){
p0 = p0.next;
}
ListNode pre = null;
ListNode cur = p0.next;
for (int i = 0; i < (right - left + 1); i++){
ListNode next = cur.next;
cur.next = pre;
pre = cur;
cur = next;
}
p0.next.next = cur;
p0.next = pre;
return dummy.next;
}
}
// TC: O(n)
// SC: O(1)