110. Balanced Binary Tree
Given a binary tree, determine if it is height-balanced.
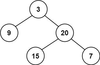
Example 1:

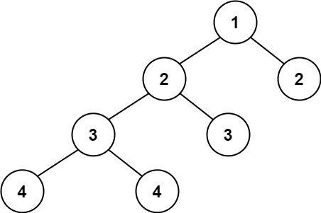
Example 2:

Example 3:
Solution1:
/**
* Definition for a binary tree node.
* public class TreeNode {
* int val;
* TreeNode left;
* TreeNode right;
* TreeNode() {}
* TreeNode(int val) { this.val = val; }
* TreeNode(int val, TreeNode left, TreeNode right) {
* this.val = val;
* this.left = left;
* this.right = right;
* }
* }
*/
class Solution {
public boolean isBalanced(TreeNode root) {
if (root == null){
return true;
}
if (root.left == null && root.right == null){
return true;
}
int left = getH(root.left);
int right = getH(root.right);
if (Math.abs(left - right) > 1){
return false;
}
return isBalanced(root.left) && isBalanced(root.right);
}
public int getH(TreeNode root){
if (root == null){
return 0;
}
int left = getH(root.left);
int right = getH(root.right);
return Math.max(left, right) + 1;
}
}
// TC: O(n)
// SC: O(n)
Top-down recursion:
/**
* Definition for a binary tree node.
* public class TreeNode {
* int val;
* TreeNode left;
* TreeNode right;
* TreeNode() {}
* TreeNode(int val) { this.val = val; }
* TreeNode(int val, TreeNode left, TreeNode right) {
* this.val = val;
* this.left = left;
* this.right = right;
* }
* }
*/
// class Solution {
// public boolean isBalanced(TreeNode root) {
// }
// }
class Solution{
public boolean isBalanced(TreeNode root){
// base case
// base case1: root is null
if (root == null){
return true;
}
// base case2: root no left and no right
if (root.left == null && root.right == null){
return true;
}
// left right height
int leftHeight = getHeight(root.left);
int rightHeight = getHeight(root.right);
// check diff
int diff = Math.abs(leftHeight - rightHeight);
if (diff > 1){
return false;
}
// return result
boolean checkLeftTree = isBalanced(root.left);
boolean checkRightTree = isBalanced(root.right);
return checkLeftTree && checkRightTree;
}
private int getHeight(TreeNode root){
if (root == null){
return 0;
}
int leftHeight = getHeight(root.left);
int rightHeight = getHeight(root.right);
return Math.max(leftHeight, rightHeight) + 1;
}
}
/**
* Definition for a binary tree node.
* public class TreeNode {
* int val;
* TreeNode left;
* TreeNode right;
* TreeNode() {}
* TreeNode(int val) { this.val = val; }
* TreeNode(int val, TreeNode left, TreeNode right) {
* this.val = val;
* this.left = left;
* this.right = right;
* }
* }
*/
class Solution {
public boolean isBalanced(TreeNode root) { // n = 2^? => nlogn
// base case
if (root == null){
return true;
}
int diff = getHeight(root.left) - getHeight(root.right);
if (Math.abs(diff) > 1){
return false;
}
return (isBalanced(root.left) && isBalanced(root.right));
}
private static int getHeight(TreeNode root){ // O(n)
if (root == null){
return 0;
}
return (Math.max(getHeight(root.left), getHeight(root.right)) + 1);
}
}
// TC: O(nlogn)
// SC: O(n)
Solution2:
/**
* Definition for a binary tree node.
* public class TreeNode {
* int val;
* TreeNode left;
* TreeNode right;
* TreeNode() {}
* TreeNode(int val) { this.val = val; }
* TreeNode(int val, TreeNode left, TreeNode right) {
* this.val = val;
* this.left = left;
* this.right = right;
* }
* }
*/
class Solution {
public boolean isBalanced(TreeNode root) {
if (root == null){
return true;
}
// use -1 to denote the tree is not balanced
// >= 0 value means the tree is balanced and it is the height of the tree.
return height(root) != -1;
}
private static int height(TreeNode root){
if (root == null){
return 0;
}
int leftHeight = height(root.left);
// if left subtree is already not balanced, we do not need to continue
// and we can return -1 directly.
if (leftHeight == -1){
return -1;
}
int rightHeight = height(root.right);
if (rightHeight == -1){
return -1;
}
// if not balanced, return -1;
if (Math.abs(leftHeight - rightHeight) > 1){
return -1;
}
return Math.max(leftHeight, rightHeight)+1;
}
}
// Time: O(n)
// Space: O(height)
/**
* Definition for a binary tree node.
* public class TreeNode {
* int val;
* TreeNode left;
* TreeNode right;
* TreeNode() {}
* TreeNode(int val) { this.val = val; }
* TreeNode(int val, TreeNode left, TreeNode right) {
* this.val = val;
* this.left = left;
* this.right = right;
* }
* }
*/
class Solution {
public boolean isBalanced(TreeNode root) {
// base case
if (root == null){
return true;
}
if (root.left == null && root.right == null){
return true;
}
int leftHeight = height(root.left);
int rightHeight = height(root.right);
if (Math.abs(leftHeight - rightHeight) > 1){
return false;
}
return isBalanced(root.left) && isBalanced(root.right);
}
private int height(TreeNode root){
if (root == null){
return 0;
}
int leftHeight = height(root.left);
int rightHeight = height(root.right);
return Math.max(leftHeight, rightHeight) + 1;
}
}
// TC: O(n)
// SC: O(n)
/**
* Definition for a binary tree node.
* public class TreeNode {
* int val;
* TreeNode left;
* TreeNode right;
* TreeNode() {}
* TreeNode(int val) { this.val = val; }
* TreeNode(int val, TreeNode left, TreeNode right) {
* this.val = val;
* this.left = left;
* this.right = right;
* }
* }
*/
class Solution {
public boolean isBalanced(TreeNode root) {
int hight = getHeight(root);
if (hight >= 0){
return true;
}else{
return false;
}
}
private int getHeight(TreeNode node){
if (node == null){
return 0;
}
int left = getHeight(node.left);
int right = getHeight(node.right);
if (left == -1 || right == -1){
return -1;
}
int balanced = Math.abs(right - left);
if (balanced > 1){
return -1;
}else{
return Math.max(left, right) + 1;
}
}
}
// TC: O(n)
// SC: O(n)