653 Two Sum IV - Input is a BST
Given the root of a binary search tree and an integer k, return true if there exist two elements in the BST such that their sum is equal to k, or false otherwise.
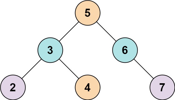
Example 1:

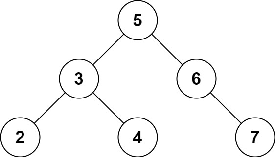
Example 2:

Solution
/**
* Definition for a binary tree node.
* public class TreeNode {
* int val;
* TreeNode left;
* TreeNode right;
* TreeNode() {}
* TreeNode(int val) { this.val = val; }
* TreeNode(int val, TreeNode left, TreeNode right) {
* this.val = val;
* this.left = left;
* this.right = right;
* }
* }
*/
class Solution {
public boolean findTarget(TreeNode root, int k) {
Set<Integer> set = new HashSet<Integer>();
return helper(root, k, set);
}
private boolean helper(TreeNode root, int k, Set<Integer> set){
if (root == null){
return false;
}
if (set.contains(k - root.val)){
return true;
}
set.add(root.val);
return helper(root.left, k , set) || helper(root.right, k, set);
}
}
// TC:O(n)
// SC:O(n)