226. Invert Binary Tree
Given the root of a binary tree, invert the tree, and return its root.
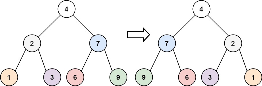
Example 1:

Example 2:

Example 3:
Constraints:
- The number of nodes in the tree is in the range
[0, 100]. -100 <= Node.val <= 100
Solution:
/**
* Definition for a binary tree node.
* public class TreeNode {
* int val;
* TreeNode left;
* TreeNode right;
* TreeNode() {}
* TreeNode(int val) { this.val = val; }
* TreeNode(int val, TreeNode left, TreeNode right) {
* this.val = val;
* this.left = left;
* this.right = right;
* }
* }
*/
class Solution {
public TreeNode invertTree(TreeNode root) {
if (root == null){
return null;
}
TreeNode left = invertTree(root.left);
TreeNode right = invertTree(root.right);
TreeNode cur = root.left;
root.left = root.right;
root.right = cur;
return root;
}
}
// TC: O(n)
// SC: O(n)
/**
* Definition for a binary tree node.
* public class TreeNode {
* int val;
* TreeNode left;
* TreeNode right;
* TreeNode() {}
* TreeNode(int val) { this.val = val; }
* TreeNode(int val, TreeNode left, TreeNode right) {
* this.val = val;
* this.left = left;
* this.right = right;
* }
* }
*/
class Solution {
public TreeNode invertTree(TreeNode root) {
if (root == null){
return root;
}
if (root.left == null && root.right == null){
return root;
}
if (root.left != null && root.right != null){
TreeNode left = invertTree(root.left);
TreeNode right = invertTree(root.right);
root.left = right;
root.right = left;
return root;
}else if (root.left != null){
TreeNode left = invertTree(root.left);
root.right = left;
root.left = null;
return root;
}else {
TreeNode right = invertTree(root.right);
root.left = right;
root.right = null;
return root;
}
}
}
// TC: O(n)
// SC: O(n)