111. Minimum Depth of Binary Tree
Given a binary tree, find its minimum depth.
The minimum depth is the number of nodes along the shortest path from the root node down to the nearest leaf node.
Note: A leaf is a node with no children.
Example 1:

Example 2:
Solution:
方法一:自顶向下「递」
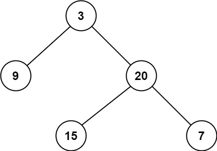
可以在 DFS 这棵树的同时,额外传入一个计数器 cnt,表示路径上的节点个数,例如上图从根到叶子的路径 3→20→15:
递归前,cnt=0。 从 3 开始递归,cnt 加一,现在 cnt=1。 向下递归到 20,cnt 加一,现在 cnt=2。 向下递归到 15,cnt 加一,现在 cnt=3。由于 15 是叶子,用 3 更新答案的最小值。
/**
* Definition for a binary tree node.
* public class TreeNode {
* int val;
* TreeNode left;
* TreeNode right;
* TreeNode() {}
* TreeNode(int val) { this.val = val; }
* TreeNode(int val, TreeNode left, TreeNode right) {
* this.val = val;
* this.left = left;
* this.right = right;
* }
* }
*/
class Solution {
private int result = Integer.MAX_VALUE;
public int minDepth(TreeNode root) {
dfs(root, 0);
return root != null ? result : 0;
}
private void dfs(TreeNode node, int cnt){
if (node == null){
return;
}
cnt++;
if (node.left == null && node.right == null){
// node is leaf
result = Math.min(result, cnt);
return;
}
dfs(node.left, cnt);
dfs(node.right, cnt);
}
}
// TC: O(n)
// SC: O(n)
优化
如果递归中发现 cnt≥ans,由于继续向下递归也不会让 ans 变小,直接返回。
这一技巧叫做「最优性剪枝」。
/**
* Definition for a binary tree node.
* public class TreeNode {
* int val;
* TreeNode left;
* TreeNode right;
* TreeNode() {}
* TreeNode(int val) { this.val = val; }
* TreeNode(int val, TreeNode left, TreeNode right) {
* this.val = val;
* this.left = left;
* this.right = right;
* }
* }
*/
class Solution {
private int result = Integer.MAX_VALUE;
public int minDepth(TreeNode root) {
dfs(root, 0);
return root != null ? result : 0;
}
private void dfs(TreeNode node, int cnt){
if (node == null){
return;
}
cnt++;
if (cnt > result){
return;
}
if (node.left == null && node.right == null){
// node is leaf
result = Math.min(result, cnt);
return;
}
dfs(node.left, cnt);
dfs(node.right, cnt);
}
}
// TC: O(n)
// SC: O(n)
复杂度分析
- 时间复杂度:O(n),其中 n 为二叉树的节点个数。
- 空间复杂度:O(n)。最坏情况下,二叉树退化成一条链,递归需要 O(n) 的栈空间。
方法二:自底向上「归」
定义 dfs(node) 表示以节点 node 为根的子树的最小深度。
分类讨论:
如果 node 是空节点,由于没有节点,返回 0。 如果 node 没有右儿子,那么深度就是左子树的深度加一,即 dfs(node)=dfs(node.left)+1。 如果 node 没有左儿子,那么深度就是右子树的深度加一,即 dfs(node)=dfs(node.right)+1。 如果 node 左右儿子都有,那么分别递归计算左子树的深度,以及右子树的深度,二者取最小值再加一,即 dfs(node)=min(dfs(node.left),dfs(node.right))+1 注意:并不需要特判 node 是叶子的情况,因为在没有右儿子的情况下,我们会递归 node.left,如果它是空节点,递归的返回值是 0,加一后得到 1,这正是叶子节点要返回的值。
答案:dfs(root)。
代码实现时,可以直接递归调用 minDepth。
答疑 问:本题和 104. 二叉树的最大深度 的区别是什么?为什么本题代码要更复杂一些?
答:对于非叶节点,把握一个共同原则:如果一个儿子是空节点,另一个儿子不是空节点,那么答案只能来自非空的那一侧。
求最大深度,空节点返回 0,直接计算 max,一定会取到有节点的那一侧(因为深度比 0 大)。 求最小深度,空节点返回 0,直接计算 min,会取到空节点,不符合「答案只能来自非空的那一侧」。所以求最小深度必须多写一些逻辑。
/**
* Definition for a binary tree node.
* public class TreeNode {
* int val;
* TreeNode left;
* TreeNode right;
* TreeNode() {}
* TreeNode(int val) { this.val = val; }
* TreeNode(int val, TreeNode left, TreeNode right) {
* this.val = val;
* this.left = left;
* this.right = right;
* }
* }
*/
class Solution {
public int minDepth(TreeNode root) {
if (root == null){
return 0;
}
if (root.right == null){
return minDepth(root.left) + 1;
}
if (root.left == null){
return minDepth(root.right) + 1;
}
return Math.min(minDepth(root.left), minDepth(root.right)) + 1;
}
}
// TC: O(n)
// SC: O(n)
复杂度分析
- 时间复杂度:O(n),其中 n 为二叉树的节点个数。
- 空间复杂度:O(n)。最坏情况下,二叉树退化成一条链,递归需要 O(n) 的栈空间。
/**
* Definition for a binary tree node.
* public class TreeNode {
* int val;
* TreeNode left;
* TreeNode right;
* TreeNode() {}
* TreeNode(int val) { this.val = val; }
* TreeNode(int val, TreeNode left, TreeNode right) {
* this.val = val;
* this.left = left;
* this.right = right;
* }
* }
*/
class Solution {
public int minDepth(TreeNode root) {
if (root == null){
return 0;
}
if (root.left == null && root.right == null){
return 1;
}
int result = Integer.MAX_VALUE;
if (root.left != null && root.right != null){
int left = minDepth(root.left);
int right = minDepth(root.right);
result = Math.min(left, right);
}
if (root.left == null){
result = minDepth(root.right);
}
if (root.right == null){
result = minDepth(root.left);
}
return result + 1;
}
}
// TC: O(n)
// SC: O(n)