108. Convert Sorted Array to Binary Search Tree
Given an integer array nums where the elements are sorted in ascending order, convert it to a height-balanced* binary search tree*.
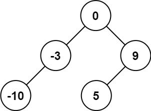
Example 1:

Input: nums = [-10,-3,0,5,9]
Output: [0,-3,9,-10,null,5]
Explanation: [0,-10,5,null,-3,null,9] is also accepted:
Example 2:

Constraints:
1 <= nums.length <= 104-104 <= nums[i] <= 104numsis sorted in a strictly increasing order.
Solution:
/**
* Definition for a binary tree node.
* public class TreeNode {
* int val;
* TreeNode left;
* TreeNode right;
* TreeNode() {}
* TreeNode(int val) { this.val = val; }
* TreeNode(int val, TreeNode left, TreeNode right) {
* this.val = val;
* this.left = left;
* this.right = right;
* }
* }
*/
class Solution {
public TreeNode sortedArrayToBST(int[] nums) {
return dfs(nums, 0, nums.length - 1);
}
private TreeNode dfs(int[] nums, int left, int right){
if (left > right){
return null;
}
int mid = left + (right - left) /2;
TreeNode root = new TreeNode(nums[mid]);
root.left = dfs(nums, left, mid - 1);
root.right = dfs(nums, mid + 1, right);
return root;
}
}
// TC: O(n)
// SC: O(n)