103. Binary Tree Zigzag Level Order Traversal
Given the root of a binary tree, return the zigzag level order traversal of its nodes' values. (i.e., from left to right, then right to left for the next level and alternate between).
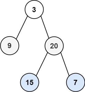
Example 1:

Example 2:
Example 3:
Solution:
BFS:
/**
* Definition for a binary tree node.
* public class TreeNode {
* int val;
* TreeNode left;
* TreeNode right;
* TreeNode() {}
* TreeNode(int val) { this.val = val; }
* TreeNode(int val, TreeNode left, TreeNode right) {
* this.val = val;
* this.left = left;
* this.right = right;
* }
* }
*/
class Solution {
public List<List<Integer>> zigzagLevelOrder(TreeNode root) {
List<List<Integer>> result = new ArrayList<>();
if (root == null){
return result;
}
Deque<TreeNode> queue = new ArrayDeque<>();
queue.offerLast(root);
boolean isEven = true;
while(!queue.isEmpty()){
int size = queue.size();
List<Integer> subResult = new ArrayList<>();
for (int i = 0; i < size; i++){
TreeNode cur = queue.pollFirst();
if (isEven == true){
subResult.add(cur.val);
}else{
subResult.add(0, cur.val);
}
if (cur.left != null){
queue.offerLast(cur.left);
}
if (cur.right != null){
queue.offerLast(cur.right);
}
}
isEven = !isEven;
result.add(subResult);
}
return result;
}
}
// TC: O(n)
// SC: O(n)
/**
* Definition for a binary tree node.
* public class TreeNode {
* int val;
* TreeNode left;
* TreeNode right;
* TreeNode() {}
* TreeNode(int val) { this.val = val; }
* TreeNode(int val, TreeNode left, TreeNode right) {
* this.val = val;
* this.left = left;
* this.right = right;
* }
* }
*/
class Solution {
public List<List<Integer>> zigzagLevelOrder(TreeNode root) {
List<List<Integer>> result = new ArrayList<List<Integer>>();
if (root == null){
return result;
}
int index = 0;
boolean flag = false;
helper(root, index, result);
return result;
}
private void helper(TreeNode root, int index, List<List<Integer>> result){
if (root == null){
return;
}
if (index >= result.size()){
result.add(new ArrayList<Integer>());
}
if (index % 2 == 0){
result.get(index).add(root.val);
}else{
result.get(index).add(0, root.val); // 0 means add first place.
}
helper(root.left, index+1, result);
helper(root.right, index+1, result);
}
}
//TC: O(n)
//SC: O(n)