199. Binary Tree Right Side View
Given the root of a binary tree, imagine yourself standing on the right side of it, return the values of the nodes you can see ordered from top to bottom.
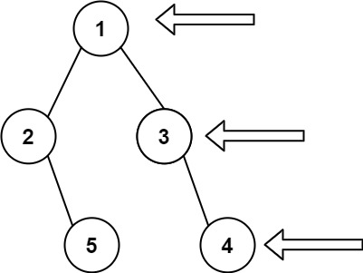
Example 1:

Example 2:
Example 3:
Solution:
思路:先递归右子树,再递归左子树,当某个深度首次到达时,对应的节点就在右视图中。
/**
* Definition for a binary tree node.
* public class TreeNode {
* int val;
* TreeNode left;
* TreeNode right;
* TreeNode() {}
* TreeNode(int val) { this.val = val; }
* TreeNode(int val, TreeNode left, TreeNode right) {
* this.val = val;
* this.left = left;
* this.right = right;
* }
* }
*/
class Solution {
public List<Integer> rightSideView(TreeNode root) {
List<Integer> result = new ArrayList<>();
dfs(root, 0, result);
return result;
}
private void dfs(TreeNode root, int depth, List<Integer> result){
if (root == null){
return;
}
if (depth == result.size()){ // 这个深度首次遇到
result.add(root.val);
}
dfs(root.right, depth + 1, result); // 先递归右子树,保证首次遇到的一定是最右边的节点
dfs(root.left, depth + 1, result);
}
}
// TC: O(n)
// SC: O(n)
复杂度分析 时间复杂度:O(n),其中 n 是二叉树的节点个数。 空间复杂度:O(h),其中 h 是二叉树的高度。递归需要 O(h) 的栈空间。最坏情况下,二叉树退化成一条链,递归需要 O(n) 的栈空间。
/**
* Definition for a binary tree node.
* public class TreeNode {
* int val;
* TreeNode left;
* TreeNode right;
* TreeNode() {}
* TreeNode(int val) { this.val = val; }
* TreeNode(int val, TreeNode left, TreeNode right) {
* this.val = val;
* this.left = left;
* this.right = right;
* }
* }
*/
class Solution {
public List<Integer> rightSideView(TreeNode root) {
List<Integer> result = new ArrayList<>();
if (root == null){
return result;
}
Deque<TreeNode> queue = new ArrayDeque<>();
queue.offerLast(root);
while(!queue.isEmpty()){
int size = queue.size();
for (int i = 0; i < size; i++){
TreeNode cur = queue.pollFirst();
if (i == size - 1){
result.add(cur.val);
}
if (cur.left != null){
queue.offerLast(cur.left);
}
if (cur.right != null){
queue.offerLast(cur.right);
}
}
}
return result;
}
}
// TC: O(n)
// SC: O(n)
/**
* Definition for a binary tree node.
* public class TreeNode {
* int val;
* TreeNode left;
* TreeNode right;
* TreeNode() {}
* TreeNode(int val) { this.val = val; }
* TreeNode(int val, TreeNode left, TreeNode right) {
* this.val = val;
* this.left = left;
* this.right = right;
* }
* }
*/
class Solution {
public List<Integer> rightSideView(TreeNode root) {
List<Integer> result = new ArrayList<Integer>();
helper(root, result, 0);
return result;
}
private void helper(TreeNode root, List<Integer> result, int index){
if (root == null){
return;
}
if (index == result.size()){
result.add(root.val);
}
helper(root.right, result, index + 1);
helper(root.left, result, index + 1);
}
}
// TC: O(n)
// SC: O(n)
/**
* Definition for a binary tree node.
* public class TreeNode {
* int val;
* TreeNode left;
* TreeNode right;
* TreeNode() {}
* TreeNode(int val) { this.val = val; }
* TreeNode(int val, TreeNode left, TreeNode right) {
* this.val = val;
* this.left = left;
* this.right = right;
* }
* }
*/
class Solution {
public List<Integer> rightSideView(TreeNode root) {
List<Integer> result = new ArrayList<>();
dfs(root, 0, result);
return result;
}
private void dfs(TreeNode root, int depth, List<Integer> result){
if (root == null){
return;
}
if (depth == result.size()){
result.add(root.val);
}
dfs(root.right, depth + 1, result);
dfs(root.left, depth + 1, result);
}
}
// TC: O(n)
// SC: O(n)