203 Remove Linked List Elements
Given the head of a linked list and an integer val, remove all the nodes of the linked list that has Node.val == val, and return the new head.
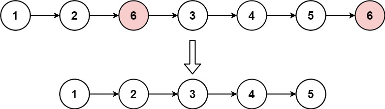
Example 1:

Example 2:
Example 3:
Solution:
/**
* Definition for singly-linked list.
* public class ListNode {
* int val;
* ListNode next;
* ListNode() {}
* ListNode(int val) { this.val = val; }
* ListNode(int val, ListNode next) { this.val = val; this.next = next; }
* }
*/
class Solution {
public ListNode removeElements(ListNode head, int val) {
// base case
if (head == null){
return head;
}
ListNode dummy = new ListNode(-1);
dummy.next = head;
ListNode cur = head;
ListNode pre = dummy;
while(cur != null){
ListNode next = cur.next;
if (cur.val == val){
pre.next = next;
cur = next;
}else{
pre = cur;
cur = next;
}
}
return dummy.next;
}
}
// TC: O(n)
// SC: O(1)