86. Partition List
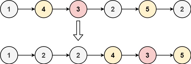
Given the head of a linked list and a value x, partition it such that all nodes less than x come before nodes greater than or equal to x.
You should preserve the original relative order of the nodes in each of the two partitions.
Example 1:

Example 2:
/**
* Definition for singly-linked list.
* public class ListNode {
* int val;
* ListNode next;
* ListNode() {}
* ListNode(int val) { this.val = val; }
* ListNode(int val, ListNode next) { this.val = val; this.next = next; }
* }
*/
class Solution {
public ListNode partition(ListNode head, int x) {
// base case
if (head == null){
return head;
}
ListNode small = new ListNode(-1);
ListNode cursmall = small;
ListNode le = new ListNode(-1); // >=
ListNode curle = le;
ListNode cur = head;
ListNode next = null;
while (cur != null){
next = cur.next;
cur.next = null;
if (cur.val < x){
cursmall.next = cur;
cur = next;
cursmall = cursmall.next;
}else{ // >=
curle.next = cur;
cur = next;
curle = curle.next;
}
}
cursmall.next = le.next;
return small.next;
}
}
// TC: O(n)
// SC: O(1)
/*
< x >=
1 -> 4. 3 2 5 2
cur
[smaller]
1 2 2
[largerandequal]
4 3 5
return smalleer + largerandequal
*
Can draw picture will be better.