206. Reverse Linked List
Given the head of a singly linked list, reverse the list, and return the reversed list.
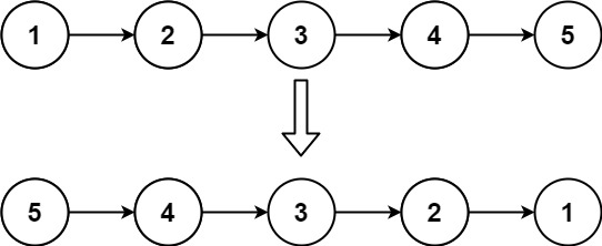
Example 1:

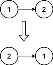
Example 2:

Example 3:
Solution:
iterate:
/**
* Definition for singly-linked list.
* public class ListNode {
* int val;
* ListNode next;
* ListNode() {}
* ListNode(int val) { this.val = val; }
* ListNode(int val, ListNode next) { this.val = val; this.next = next; }
* }
*/
class Solution {
public ListNode reverseList(ListNode head) {
if (head == null || head.next == null){
return head;
}
ListNode cur = head;
ListNode pre = null;
while(cur != null){
ListNode next = cur.next;
cur.next = pre;
pre = cur;
cur = next;
}
return pre;
}
}
// TC: O(n)
// SC: O(1)
recursive:
/**
* Definition for singly-linked list.
* public class ListNode {
* int val;
* ListNode next;
* ListNode() {}
* ListNode(int val) { this.val = val; }
* ListNode(int val, ListNode next) { this.val = val; this.next = next; }
* }
*/
class Solution {
public ListNode reverseList(ListNode head) {
if (head == null || head.next == null){
return head;
}
ListNode next = reverseList(head.next);
head.next.next = head;
head.next = null;
return next;
}
}
// TC: O(n)
// SC: O(n) // stack
反转结束后, 从原来的链表上看:
pre指向反转这一段的末尾
cur指向反转这一段后续的下一个节点