543. Diameter of Binary Tree
Given the root of a binary tree, return the length of the diameter of the tree.
The diameter of a binary tree is the length of the longest path between any two nodes in a tree. This path may or may not pass through the root.
The length of a path between two nodes is represented by the number of edges between them.
Example 1:

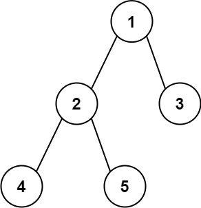
Input: root = [1,2,3,4,5]
Output: 3
Explanation: 3 is the length of the path [4,2,1,3] or [5,2,1,3].
Example 2:
Constraints:
- The number of nodes in the tree is in the range
[1, 104]. -100 <= Node.val <= 100
Solution:
/**
* Definition for a binary tree node.
* public class TreeNode {
* int val;
* TreeNode left;
* TreeNode right;
* TreeNode() {}
* TreeNode(int val) { this.val = val; }
* TreeNode(int val, TreeNode left, TreeNode right) {
* this.val = val;
* this.left = left;
* this.right = right;
* }
* }
*/
class Solution {
int result = 0;
public int diameterOfBinaryTree(TreeNode root) {
dfs(root);
return result;
}
private int dfs(TreeNode root){
if (root == null){
return 0;
}
int left = dfs(root.left);
int right = dfs(root.right);
result = Math.max(result, left + right);
return Math.max(left, right) + 1;
}
}
// TC: O(n)
// SC: O(n)


/**
* Definition for a binary tree node.
* public class TreeNode {
* int val;
* TreeNode left;
* TreeNode right;
* TreeNode() {}
* TreeNode(int val) { this.val = val; }
* TreeNode(int val, TreeNode left, TreeNode right) {
* this.val = val;
* this.left = left;
* this.right = right;
* }
* }
*/
class Solution {
int result = 0;
public int diameterOfBinaryTree(TreeNode root) {
height(root);
return result;
// root = [1,2,3,4,5]
/*
[3] 1
/ \
[2] 2 3
/ \
[1] 4 5
lheight = 3
rheight = 2
root:
path1: root.left + root.right = 2 + 1 = 3
not root:
*/
}
private int height(TreeNode root){
if (root == null){
return 0;
}
int left = height(root.left);
int right = height(root.right);
result = Math.max(left + right, result);
return Math.max(left, right) + 1;
}
}
/**
* Definition for a binary tree node.
* public class TreeNode {
* int val;
* TreeNode left;
* TreeNode right;
* TreeNode() {}
* TreeNode(int val) { this.val = val; }
* TreeNode(int val, TreeNode left, TreeNode right) {
* this.val = val;
* this.left = left;
* this.right = right;
* }
* }
*/
class Solution {
int result = 0;
public int diameterOfBinaryTree(TreeNode root) {
height(root);
return result;
// root = [1,2,3,4,5]
/*
[3] 1
/ \
[2] 2 3
/ \
[1] 4 5
lheight = 3
rheight = 2
root:
path1: root.left + root.right = 2 + 1 =3
not root:
*/
}
private int height(TreeNode root){
if (root == null){
return 0;
}
int left = height(root.left);
int right = height(root.right);
result = Math.max(left + right, result);
return Math.max(left, right) + 1;
}
}
/**
* Definition for a binary tree node.
* public class TreeNode {
* int val;
* TreeNode left;
* TreeNode right;
* TreeNode() {}
* TreeNode(int val) { this.val = val; }
* TreeNode(int val, TreeNode left, TreeNode right) {
* this.val = val;
* this.left = left;
* this.right = right;
* }
* }
*/
class Solution {
int result = 0;
public int diameterOfBinaryTree(TreeNode root) {
if (root == null){
return 0;
}
helper(root);
return result;
}
private int helper(TreeNode root){
if (root == null){
return 0;
}
int left = helper(root.left);
int right = helper(root.right);
int cur = left + right; // not add 1 here because the diameter depends on the edge
result = Math.max(cur, result);
return Math.max(left, right) + 1;
}
}
// TC: O(n)
// SC: O(n)
class Solution {
private int diameter;
public int diameterOfBinaryTree(TreeNode root) {
diameter = 0;
longestPath(root);
return diameter;
}
private int longestPath(TreeNode node){
if(node == null) return 0;
// recursively find the longest path in
// both left child and right child
int leftPath = longestPath(node.left);
int rightPath = longestPath(node.right);
// update the diameter if left_path plus right_path is larger
diameter = Math.max(diameter, leftPath + rightPath);
// return the longest one between left_path and right_path;
// remember to add 1 for the path connecting the node and its parent
return Math.max(leftPath, rightPath) + 1;
}
}