141. Linked List Cycle
Given head, the head of a linked list, determine if the linked list has a cycle in it.
There is a cycle in a linked list if there is some node in the list that can be reached again by continuously following the next pointer. Internally, pos is used to denote the index of the node that tail's next pointer is connected to. Note that pos is not passed as a parameter.
Return true if there is a cycle in the linked list. Otherwise, return false.
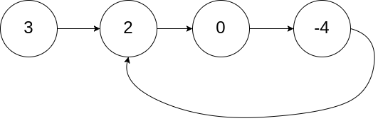
Example 1:

Input: head = [3,2,0,-4], pos = 1
Output: true
Explanation: There is a cycle in the linked list, where the tail connects to the 1st node (0-indexed).
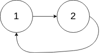
Example 2:

Input: head = [1,2], pos = 0
Output: true
Explanation: There is a cycle in the linked list, where the tail connects to the 0th node.
Example 3:

Constraints:
- The number of the nodes in the list is in the range
[0, 104]. -105 <= Node.val <= 105posis-1or a valid index in the linked-list.
Follow up: Can you solve it using O(1) (i.e. constant) memory?
Solution:
/**
* Definition for singly-linked list.
* class ListNode {
* int val;
* ListNode next;
* ListNode(int x) {
* val = x;
* next = null;
* }
* }
*/
public class Solution {
public boolean hasCycle(ListNode head) {
// base case
if (head == null || head.next == null){
return false;
}
ListNode fast = head;
ListNode slow = head;
while(fast.next != null && fast.next.next != null){
fast = fast.next.next;
slow = slow.next;
if (fast == slow){
return true;
}
}
return false;
}
}
// TC: O(n)
// SC: O(1)
/*
3 - > 2 -> 0 -> 4
| |
--------
f
s
f -> null {
1. even f.next.next = null
2. odd f.next = null
}
Note
two pointer, 要记着 fast pointer 跳两下, slow pointer 跳一下 这么循环 突然卡着了