22. Generate Parentheses
Given n pairs of parentheses, write a function to generate all combinations of well-formed parentheses.
Example 1:
Example 2:
Solution:


回溯三问:
当前操作? 枚举path[i]是左括号还是右括号
子问题?构造字符串\(\ge i + 1\)的部分
下一个子问题? 构造字符串\(\geq i + 1\)的部分


class Solution {
public List<String> generateParenthesis(int n) {
List<String> result = new ArrayList<>();
StringBuilder sb = new StringBuilder();
int left = 0;
int right = 0;
int index = 0;
backtrack(index, left, right, n, sb, result);
return result;
}
private void backtrack(int index, int left, int right, int n, StringBuilder sb, List<String> result){
if (index == n * 2){
result.add(sb.toString());
return;
}
if (left < n){
sb.append('(');
left++;
backtrack(index + 1, left, right, n, sb, result);
sb.deleteCharAt(sb.length() - 1);
left--;
}
if (right < left){
sb.append(')');
right++;
backtrack(index + 1, left, right, n ,sb, result);
sb.deleteCharAt(sb.length() - 1);
right--;
}
}
}
// TC: O(n*C(2n, n)) Catalan
// SC: O(n)
class Solution {
public List<String> generateParenthesis(int n) {
List<String> result = new ArrayList<String>();
// base case
if (n == 0){
return result;
}
StringBuilder sb = new StringBuilder();
helper(sb, result, n, 0, 0);
return result;
}
private static void helper(StringBuilder sb, List<String> result, int n, int left, int right){
// base case
if (sb.length() == 2 * n){
result.add(sb.toString());
return;
}
// add left
if (left < n){
sb.append('(');
helper(sb, result, n, left+1, right);
sb.deleteCharAt(sb.length() - 1);
}
// add right
if (left > right){
sb.append(')');
helper(sb, result, n, left, right + 1);
sb.deleteCharAt(sb.length() - 1);
}
}
}
// TC: O(2^(2n)) = O(2^n)
// SC: O(n)
/*
n = 3
((()))
/ \
( ) x
/ \
(( ()
branch means: left branch add (
right add )
level means 2*n levels
left < n (
left > right )
*/
class Solution {
public List<String> generateParenthesis(int n) {
List<String> result = new ArrayList<String>();
if (n <= 0){
return result;
}
StringBuilder sb = new StringBuilder();
int left = 0;
int right = 0;
helper(n, left, right, sb, result);
return result;
}
private static void helper(int n, int left, int right,StringBuilder sb, List<String> result){
if (left == n && right == n){
result.add(sb.toString());
return;
}
// case 1. Add "(" 只要还有就能加
if (left < n){
sb.append('(');
helper(n, left + 1, right, sb, result);
sb.deleteCharAt(sb.length() - 1);
}
// case 2. Add ")" 加过左的 比 右加的多
if (left > right){
sb.append(')');
helper(n, left, right+1, sb, result);
sb.deleteCharAt(sb.length()-1);
}
}
}
//TC: O(n2^(2n))
// SC: O(2n)
DFS 经典例题2 () () () find all valid permutation using the parenthesis provided.
观察所有解决:
N = 2 -> [["( ( ) )", "( )( )"]] all valid permutation
Question 0: 这个N = 2 的所有可能解吗? if all, should be 6 ?
N = 2 -> [["( ( ) )", "( ) ( )", ~~" ( ) ) ( ", ") ( ( ) ", ") ( ) (", ") ) ( ( "~~]]
什么是Valid?
whenever we want to add a right parentheses, there must be a open left parentheses.
we need to know how many left we have already added so for -> 已经加过多少个左括号
how many right we have alread added so for -> 已经加过多少个右括号
leftAddedSofar = 0 rightAddedSoFar = 0
Question 1: 什么是Permutation?
- 顺序matter吗? Yes
- 能不加吗? 不能不加
permutation:
[,pə:mju:'teiʃən]
n. [数] 排列;[数] 置换:
- output 顺序
- 不能不选
Method 1: 无脑添加
只要还有剩余的括号就加
Bad Recursion Tree:

N = 2 -> [["( ( ) )", "( ) ( )", ~~" ( ) ) ( ", ") ( ( ) ", ") ( ) (", ") ) ( ( "~~]]
上来就加一个")", 后面就全错了
Method: 如何能人为的避免产生不合法的括号组会呢?
思考什么时候能添加左括号?
其实没有限制, 只要还有剩余的可加就可以直接加
思考什么时候能添加右括号?
不是只要还有剩余就能加,
N = 3 leftcount 已经加了0个left, rightcount已经加了 0个right
leftcount = 1 rightcount = 1
( ) 可以加左 () + ( 不能加 右
leftcount = 2 rightcount =1
(( ) 可以加左 (( ) + ( 能加右
总结:
leftcount = rightcount 不能加右
leftcount < rightcount 不能加右
每一层: 加一个括号
branch: add left or add right
level: 2*N 层
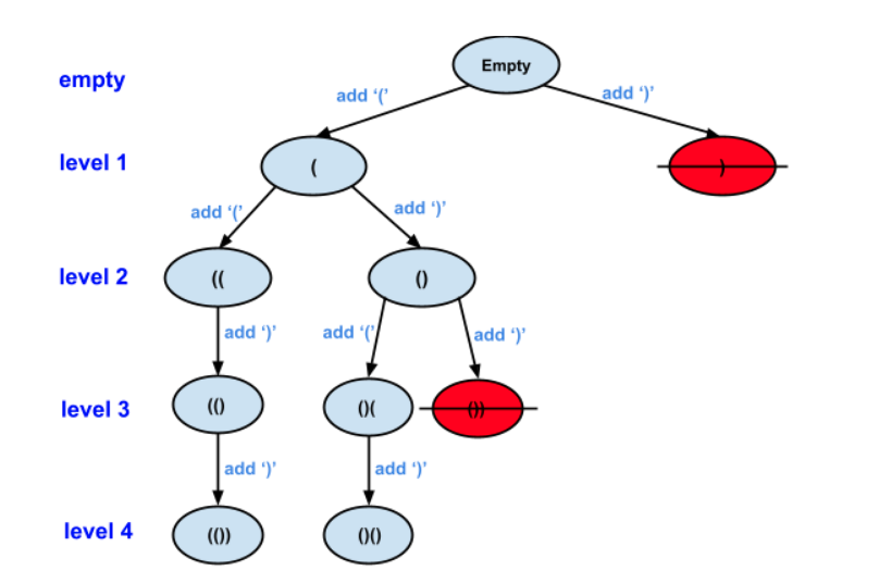
N = 2 2left 2right
[ ] empty 0 : 0
/
第一层: ( (1 : 0)
/ \
第二层: (( (2:0) () (1:1)
| |
第三层 没左了 (() (2: 1) ()( (2: 1)
| |
第四层 (()) ()()
正确的Recursion Tree
N = 2 -> [["( ( ) )", "( ) ( )", ~~" ( ) ) ( ", ") ( ( ) ", ") ( ) (", ") ) ( ( "~~]]
Restriction: number of "(" added so far > ")" added so far
branch = 2 要么加左 要么加右
level: 2*n
Time: O(2^(2n)) n对括号
Space: O(2n)
减枝 = pruning 我知道不合法的Node我就不去
we need to know how many left have already added so for => 已经加过多少个左括号
how many right we have already added so for => 已经加过多少个右括号
总结: N对儿 括号=> 2N个括号
加左的条件: 有左就可以有右
加右的条件: 加过的左括号数量 > 加过的右括号数量
加过的左括号数量: leftAddedSoFar
加过的右括号数量: rightAddedSoFar
// n stores total number of "pair of ()" need to add. So total levels == 2*n
// l stores the number of left parenthesis "(" added so far.
// r stores the number of right parenthesis ")" added so far.
// soluPrefix: solution so far
//一开始传 0 0
// | |
void DFS(int n, int leftcount, int rightcount, StringBuilder soluPrefix){
if (leftcount == n && rightcount == n){ // 所有的括号都加满了
System.out.println(soluPrefix); // base case
}
// Case1: add '(' on this level
if (leftcount < n){ // 左还有的可加的时候
soluPrefix.append('(');
DFS(n, leftcount + 1, rightcount, soluPrefix); // 下一个子节点
soluPrefix.deleteCharAt(soluPrefix.length() - 1); // 回到当前层 再去另外一个分支
}
// Case2: add ')' on this level
if (leftcount > rightcount){
soluPrefix.append(')');
DFS(n, leftcount, rightcount + 1, soluPrefix);
soluPrefix.deleteCharAt(soluPrefix.length() - 1); //
}
}
DFS 一定要画recursion tree
教案上 Time = O(2^(2n) *n ) 为什么乘n 因为这里涵盖的打印的时间 O(n)
Time: O(2^n* n) 2的n次方乘不乘n差距没有那么大了 都是一个量级
如果我告诉你Recursion Tree里面有m个Branch n层: Time = branch ^ level)
Time: O(2^n)