404 Sum of Left Leaves
Given the root of a binary tree, return the sum of all left leaves.
A leaf is a node with no children. A left leaf is a leaf that is the left child of another node.
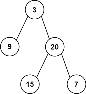
Example 1:

Input: root = [3,9,20,null,null,15,7]
Output: 24
Explanation: There are two left leaves in the binary tree, with values 9 and 15 respectively.
Example 2:
/**
* Definition for a binary tree node.
* public class TreeNode {
* int val;
* TreeNode left;
* TreeNode right;
* TreeNode() {}
* TreeNode(int val) { this.val = val; }
* TreeNode(int val, TreeNode left, TreeNode right) {
* this.val = val;
* this.left = left;
* this.right = right;
* }
* }
*/
class Solution {
private int sum = 0;
public int sumOfLeftLeaves(TreeNode root) {
// base case
if (root == null || (root.left == null && root.right == null)){
return sum;
}
helper(root, false);
return sum;
}
private void helper(TreeNode root, boolean isLeft){
// base case
if (root == null){
return;
}
// recursion rule
// leaf
if (root.left == null && root.right == null){
if (isLeft == true){
sum = sum + root.val;
}
}
helper(root.left, true);
helper(root.right, false);
}
}
/*
1. check whether it is left
2. sum
// TC: O(n)
SC: O(n)
*/