323. Number of Connected Components in an Undirected Graph
You have a graph of n nodes. You are given an integer n and an array edges where edges[i] = [ai, bi] indicates that there is an edge between ai and bi in the graph.
Return the number of connected components in the graph.
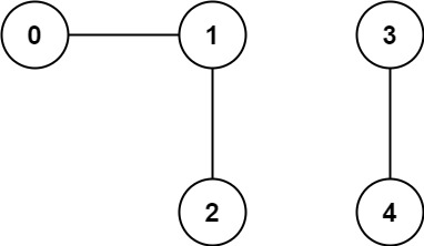
Example 1:

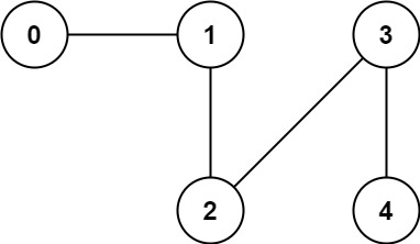
Example 2:

Constraints:
1 <= n <= 20001 <= edges.length <= 5000edges[i].length == 20 <= ai <= bi < nai != bi- There are no repeated edges.
Solution:
class Solution {
int components = 0;
public int countComponents(int n, int[][] edges) {
boolean[] visited = new boolean[n];
List<List<Integer>> adj = new ArrayList<List<Integer>>();
for (int i = 0; i < n; i++){
adj.add(new ArrayList<Integer>());
}
for (int[] edge : edges){
adj.get(edge[0]).add(edge[1]);
adj.get(edge[1]).add(edge[0]);
}
for (int i = 0; i < n; i++){
if (visited[i] == false){
dfs(i, visited, adj);
components++;
}
}
return components;
}
private void dfs(int index, boolean[] visited, List<List<Integer>> adj){
visited[index] = true;
for (int next : adj.get(index)){
if (visited[next] == false){
dfs(next, visited, adj);
}
}
return;
}
}
// TC: O(V+E)
// SC: O(E)
UnionFind
class Solution {
public int countComponents(int n, int[][] edges) {
UnionFind uf = new UnionFind(n);
int result = n;
for (int[] edge : edges){
if (uf.isConnected(edge[0], edge[1]) == false){
uf.union(edge[0], edge[1]);
result--;
}
}
return result;
}
}
class UnionFind{
int[] root;
public UnionFind(int n){
root = new int[n];
for (int i = 0; i < n; i++){
root[i] = i;
}
}
public int find(int x){
while(x != root[x]){
x = root[x];
}
return x;
}
public void union(int x, int y){
int rootX = find(x);
int rootY = find(y);
if (rootX != rootY){
root[rootY] = rootX;
}
}
public boolean isConnected(int x, int y){
return find(x) == find(y);
}
}
// TC: O(V+E)
// SC: O(V)