106. Construct Binary Tree from Inorder and Postorder Traversal
Given two integer arrays inorder and postorder where inorder is the inorder traversal of a binary tree and postorder is the postorder traversal of the same tree, construct and return the binary tree.
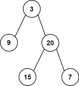
Example 1:

Example 2:
Solution:
/**
* Definition for a binary tree node.
* public class TreeNode {
* int val;
* TreeNode left;
* TreeNode right;
* TreeNode() {}
* TreeNode(int val) { this.val = val; }
* TreeNode(int val, TreeNode left, TreeNode right) {
* this.val = val;
* this.left = left;
* this.right = right;
* }
* }
*/
class Solution {
public TreeNode buildTree(int[] inorder, int[] postorder) {
if (inorder == null){
return null;
}
int n = inorder.length;
if (n == 0){
return null;
}
if (n == 1){
return new TreeNode(inorder[0]);
}
Map<Integer, Integer> inIndex = new HashMap<>();
for (int i = 0; i < n; i++){
inIndex.put(inorder[i],i);
}
int inLeft = 0;
int inRight = n - 1;
int postLeft = 0;
int postRight = n - 1;
return dfs(inorder, postorder, inIndex, postLeft, postRight, inLeft, inRight);
}
private TreeNode dfs(int[] inorder, int[] postorder, Map<Integer, Integer> inIndex, int postLeft, int postRight, int inLeft, int inRight){
if (postLeft > postRight){
return null;
}
int curRootVal = postorder[postRight];
TreeNode root = new TreeNode(curRootVal);
int leftTreeBoundary = inIndex.get(curRootVal);
int leftTreeCount = leftTreeBoundary - inLeft;
root.left = dfs(inorder, postorder, inIndex, postLeft, postLeft + leftTreeCount - 1, inLeft, leftTreeBoundary - 1);
root.right = dfs(inorder, postorder, inIndex, postLeft + leftTreeCount, postRight - 1, leftTreeBoundary + 1, inRight);
return root;
}
}
// TC: O(n)
// SC: O(n)
/**
* Definition for a binary tree node.
* public class TreeNode {
* int val;
* TreeNode left;
* TreeNode right;
* TreeNode() {}
* TreeNode(int val) { this.val = val; }
* TreeNode(int val, TreeNode left, TreeNode right) {
* this.val = val;
* this.left = left;
* this.right = right;
* }
* }
*/
class Solution {
public TreeNode buildTree(int[] inorder, int[] postorder) {
// base case
if (inorder == null || inorder.length == 0){
return null;
}
if (inorder.length == 1){
return new TreeNode(inorder[0]);
}
Map<Integer, Integer> inIndex = new HashMap<Integer, Integer>();
for (int i = 0; i < inorder.length; i++){
inIndex.put(inorder[i], i);
}
int inLeft = 0;
int inRight= inorder.length -1;
int postLeft = 0;
int postRight = postorder.length -1;
return helper(postorder, inIndex, inLeft, inRight, postLeft, postRight);
}
private TreeNode helper(int[] postorder, Map<Integer, Integer> inIndex, int inLeft, int inRight, int postLeft, int postRight){
if (inLeft > inRight){
return null;
}
TreeNode root = new TreeNode(postorder[postRight]);
int inMid = inIndex.get(postorder[postRight]);
root.left = helper(postorder, inIndex, inLeft, inMid-1, postLeft, postLeft + (inMid-inLeft) -1);
root.right = helper(postorder, inIndex, inMid+1, inRight, postLeft+(inMid-inLeft) , postRight-1);
return root;
}
}
/*
postorder = [9,15,7,20, 3]
l r
left part l l+(m-l)-1
right part l+(m-1) r-1
inMid =
inorder = [9,3,15,20,7],
l m r
left part l(m-1)
right part m+1 r
Map<Integer, Integer>
*/
中序遍历:按照「左子树-根-右子树」的顺序遍历二叉树。
后序遍历:按照「左子树-右子树-根」的顺序遍历二叉树。
我们来看看示例 1 是怎么生成这棵二叉树的。
