513. Find Bottom Left Tree Value
Given the root of a binary tree, return the leftmost value in the last row of the tree.
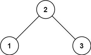
Example 1:

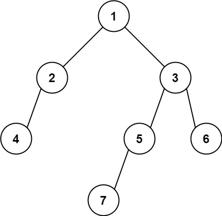
Example 2:

Constraints:
- The number of nodes in the tree is in the range
[1, 104]. -231 <= Node.val <= 231 - 1
Solution:
/**
* Definition for a binary tree node.
* public class TreeNode {
* int val;
* TreeNode left;
* TreeNode right;
* TreeNode() {}
* TreeNode(int val) { this.val = val; }
* TreeNode(int val, TreeNode left, TreeNode right) {
* this.val = val;
* this.left = left;
* this.right = right;
* }
* }
*/
class Solution {
public int findBottomLeftValue(TreeNode root) {
Deque<TreeNode> queue = new ArrayDeque<>();
queue.offerLast(root);
TreeNode cur = null;
while(!queue.isEmpty()){
cur = queue.pollFirst();
if (cur.right != null){
queue.offerLast(cur.right);
}
if (cur.left != null){
queue.offerLast(cur.left);
}
}
return cur.val;
}
}
// TC: O(n)
// SC: O(n)
/**
* Definition for a binary tree node.
* public class TreeNode {
* int val;
* TreeNode left;
* TreeNode right;
* TreeNode() {}
* TreeNode(int val) { this.val = val; }
* TreeNode(int val, TreeNode left, TreeNode right) {
* this.val = val;
* this.left = left;
* this.right = right;
* }
* }
*/
class Solution {
public int findBottomLeftValue(TreeNode root) {
List<List<Integer>> result = new ArrayList<>();
if (root == null){
return -1;
}
Deque<TreeNode> queue = new ArrayDeque<>();
queue.offerLast(root);
while(!queue.isEmpty()){
int size = queue.size();
List<Integer> subResult = new ArrayList<>();
for (int i = 0; i < size; i++){
TreeNode cur = queue.pollFirst();
subResult.add(cur.val);
if (cur.left != null){
queue.offerLast(cur.left);
}
if (cur.right != null){
queue.offerLast(cur.right);
}
}
result.add(subResult);
}
return result.get(result.size() - 1).get(0);
}
}
// TC: O(n)
// SC: O(n)