142. Linked List Cycle II
Given the head of a linked list, return the node where the cycle begins. If there is no cycle, return null.
There is a cycle in a linked list if there is some node in the list that can be reached again by continuously following the next pointer. Internally, pos is used to denote the index of the node that tail's next pointer is connected to (0-indexed). It is -1 if there is no cycle. Note that pos is not passed as a parameter.
Do not modify the linked list.
Example 1:

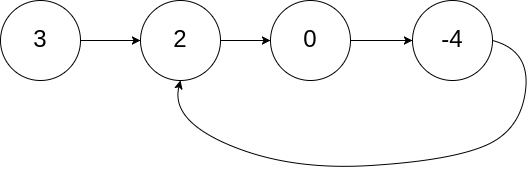
Input: head = [3,2,0,-4], pos = 1
Output: tail connects to node index 1
Explanation: There is a cycle in the linked list, where tail connects to the second node.
Example 2:

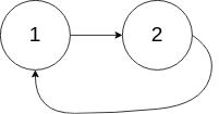
Input: head = [1,2], pos = 0
Output: tail connects to node index 0
Explanation: There is a cycle in the linked list, where tail connects to the first node.
Example 3:

Constraints:
- The number of the nodes in the list is in the range
[0, 104]. -105 <= Node.val <= 105posis-1or a valid index in the linked-list.
Follow up: Can you solve it using O(1) (i.e. constant) memory?
Solution:
Floyd's Tortoise and Hare Algorithm
/**
* Definition for singly-linked list.
* class ListNode {
* int val;
* ListNode next;
* ListNode(int x) {
* val = x;
* next = null;
* }
* }
*/
public class Solution {
public ListNode detectCycle(ListNode head) {
/*
*/
ListNode slow = head; // b + c
ListNode fast = head; //
while(fast != null && fast.next != null){
slow = slow.next;
fast = fast.next.next;
if (slow == fast){
while(slow != head){
slow = slow.next;
head = head.next;
}
return slow;
}
}
return null;
}
}
// TC: O(n)
// SC: O(1)





/**
* Definition for singly-linked list.
* class ListNode {
* int val;
* ListNode next;
* ListNode(int x) {
* val = x;
* next = null;
* }
* }
*/
public class Solution {
public ListNode detectCycle(ListNode head) {
Set<ListNode> set = new HashSet<>();
ListNode cur = head;
while(cur != null){
if (!set.contains(cur)){
set.add(cur);
cur = cur.next;
}else{
return cur;
}
}
return cur;
}
}
// TC: O(n)
// SC: O(n)