1971. Find if Path Exists in Graph
There is a bi-directional graph with n vertices, where each vertex is labeled from 0 to n - 1 (inclusive). The edges in the graph are represented as a 2D integer array edges, where each edges[i] = [ui, vi] denotes a bi-directional edge between vertex ui and vertex vi. Every vertex pair is connected by at most one edge, and no vertex has an edge to itself.
You want to determine if there is a valid path that exists from vertex source to vertex destination.
Given edges and the integers n, source, and destination, return true if there is a valid path from source to destination, or false otherwise.
Example 1:

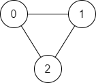
Input: n = 3, edges = [[0,1],[1,2],[2,0]], source = 0, destination = 2
Output: true
Explanation: There are two paths from vertex 0 to vertex 2:
- 0 → 1 → 2
- 0 → 2
Example 2:

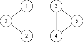
Input: n = 6, edges = [[0,1],[0,2],[3,5],[5,4],[4,3]], source = 0, destination = 5
Output: false
Explanation: There is no path from vertex 0 to vertex 5.
Constraints:
1 <= n <= 2 * 1050 <= edges.length <= 2 * 105edges[i].length == 20 <= ui, vi <= n - 1ui != vi0 <= source, destination <= n - 1- There are no duplicate edges.
- There are no self edges.
Solution:
DFS
stack:
class Solution {
public boolean validPath(int n, int[][] edges, int source, int destination) {
Map<Integer, List<Integer>> graph = new HashMap<>();
for (int i = 0; i < n; i++){
graph.put(i, new ArrayList<>());
}
for (int[] edge : edges){
int from = edge[0];
int to = edge[1];
graph.get(from).add(to);
graph.get(to).add(from);
}
Deque<Integer> stack = new ArrayDeque<Integer>();
stack.offerLast(source);
Set<Integer> visited = new HashSet<>();
while(!stack.isEmpty()){
int node = stack.pollLast();
if (node == destination){
return true;
}
if (visited.contains(node)){
continue;
}
visited.add(node);
for (int nei : graph.get(node)){
stack.offerLast(nei);
}
}
return false;
}
}
// TC: O(V+E)
// SC: O(V+E)
recursion:
class Solution {
public boolean validPath(int n, int[][] edges, int source, int destination) {
Map<Integer, List<Integer>> graph = new HashMap<>();
for (int i = 0; i < n; i++){
graph.put(i, new ArrayList<Integer>());
}
for (int[] edge : edges){
int from = edge[0];
int to = edge[1];
graph.get(from).add(to);
graph.get(to).add(from);
}
Set<Integer> visited = new HashSet<>();
return dfs(graph, source, destination, visited);
}
private boolean dfs(Map<Integer, List<Integer>> graph, int source, int destination, Set<Integer> visited){
if (visited.contains(source)){
return false;
}
visited.add(source);
if (source == destination){
return true;
}
for (int next : graph.get(source)){
if (dfs(graph, next, destination, visited)){
return true;
}
}
// visited.remove(source);
return false;
}
}
// TC: O(V+E)
// SC: O(V+E)
BFS
class Solution {
public boolean validPath(int n, int[][] edges, int source, int destination) {
Map<Integer, List<Integer>> graph = new HashMap<>();
for (int i = 0; i < n; i++){
graph.put(i, new ArrayList<>());
}
for (int[] edge : edges){
int from = edge[0];
int to = edge[1];
graph.get(from).add(to);
graph.get(to).add(from);
}
Deque<Integer> queue = new ArrayDeque<Integer>();
queue.offerLast(source);
Set<Integer> visited = new HashSet<Integer>();
visited.add(source);
while(!queue.isEmpty()){
int cur = queue.pollFirst();
if (cur == destination){
return true;
}
for (int next : graph.get(cur)){
if (!visited.contains(next)){
visited.add(next);
queue.offerLast(next);
}
}
}
return false;
}
}
// TC: O(V+E)
// SC: O(v+E)
UnionFind
class Solution {
public boolean validPath(int n, int[][] edges, int source, int destination) {
UnionFind uf = new UnionFind(n);
for (int[] edge : edges){
if (uf.isC(edge[0], edge[1]) == false){
uf.union(edge[0], edge[1]);
}
}
return uf.isC(source, destination);
}
}
class UnionFind{
int[] root;
public UnionFind(int n){
root = new int[n];
for (int i = 0; i < n; i++){
root[i] = i;
}
}
public int find(int x){
while(x != root[x]){
x = root[x];
}
return x;
}
public void union(int x, int y){
int rootX = find(x);
int rootY = find(y);
if (rootX != rootY){
root[rootY] = rootX;
}
}
public boolean isC(int x, int y){
return find(x) == find(y);
}
}
// TLM
Improve use rank:
class Solution {
public boolean validPath(int n, int[][] edges, int source, int destination) {
UnionFind uf = new UnionFind(n);
for (int[] edge : edges){
if (uf.isC(edge[0], edge[1]) == false){
uf.union(edge[0], edge[1]);
}
}
return uf.isC(source, destination);
}
}
class UnionFind{
int[] root;
int[] rank;
public UnionFind(int n){
root = new int[n];
rank = new int[n];
for (int i = 0; i < n; i++){
root[i] = i;
rank[i] = 1;
}
}
public int find(int x){
while(x != root[x]){
x = root[x];
}
return x;
}
public void union(int x, int y){
int rootX = find(x);
int rootY = find(y);
if (rootX != rootY){
if (rank[rootX] > rank[rootY]){
root[rootY] = rootX;
}else if (rank[rootX] < rank[rootY]){
root[rootX] = rootY;
}else{
root[rootY] = rootX;
rank[rootX]++;
}
}
}
public boolean isC(int x, int y){
return find(x) == find(y);
}
}
// TC: (n+e)
// SC: (n)