112. Path Sum
Given the root of a binary tree and an integer targetSum, return true if the tree has a root-to-leaf path such that adding up all the values along the path equals targetSum.
A leaf is a node with no children.
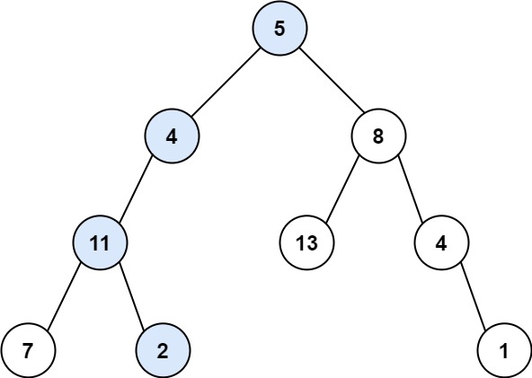
Example 1:

Input: root = [5,4,8,11,null,13,4,7,2,null,null,null,1], targetSum = 22
Output: true
Explanation: The root-to-leaf path with the target sum is shown.
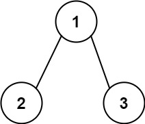
Example 2:

Input: root = [1,2,3], targetSum = 5
Output: false
Explanation: There two root-to-leaf paths in the tree:
(1 --> 2): The sum is 3.
(1 --> 3): The sum is 4.
There is no root-to-leaf path with sum = 5.
Example 3:
Input: root = [], targetSum = 0
Output: false
Explanation: Since the tree is empty, there are no root-to-leaf paths.
Solution:
/**
* Definition for a binary tree node.
* public class TreeNode {
* int val;
* TreeNode left;
* TreeNode right;
* TreeNode() {}
* TreeNode(int val) { this.val = val; }
* TreeNode(int val, TreeNode left, TreeNode right) {
* this.val = val;
* this.left = left;
* this.right = right;
* }
* }
*/
class Solution {
public boolean hasPathSum(TreeNode root, int targetSum) {
if (root == null){
return false;
}
targetSum = targetSum - root.val;
if (root.left == null && root.right == null){
if (targetSum == 0){
return true;
}else{
return false;
}
}
return hasPathSum(root.left, targetSum) || hasPathSum(root.right, targetSum);
}
}
// TC: O(n)
// SC: O(n)
/**
* Definition for a binary tree node.
* public class TreeNode {
* int val;
* TreeNode left;
* TreeNode right;
* TreeNode() {}
* TreeNode(int val) { this.val = val; }
* TreeNode(int val, TreeNode left, TreeNode right) {
* this.val = val;
* this.left = left;
* this.right = right;
* }
* }
*/
class Solution {
public boolean hasPathSum(TreeNode root, int targetSum) {
// base case
if (root == null){
return false;
}
targetSum = targetSum - root.val;
if (targetSum == 0 && root.left == null && root.right == null){
return true;
}
boolean left = hasPathSum(root.left, targetSum);
boolean right = hasPathSum(root.right, targetSum);
if (left == true || right == true){
return true;
}else{
return false;
}
}
}
/**
* Definition for a binary tree node.
* public class TreeNode {
* int val;
* TreeNode left;
* TreeNode right;
* TreeNode() {}
* TreeNode(int val) { this.val = val; }
* TreeNode(int val, TreeNode left, TreeNode right) {
* this.val = val;
* this.left = left;
* this.right = right;
* }
* }
*/
class Solution {
public boolean hasPathSum(TreeNode root, int targetSum) {
if (root == null){
return false;
}
targetSum = targetSum - root.val;
if (root.left == null && root.right == null){
return targetSum == 0;
}
return hasPathSum(root.left, targetSum) || hasPathSum(root.right, targetSum);
}
}
// TC 时间复杂度:O(n),其中 n 为二叉树的节点个数。
// SC 空间复杂度:O(n)。最坏情况下,二叉树退化成一条链,递归需要 O(n) 的栈空间。
/**
* Definition for a binary tree node.
* public class TreeNode {
* int val;
* TreeNode left;
* TreeNode right;
* TreeNode() {}
* TreeNode(int val) { this.val = val; }
* TreeNode(int val, TreeNode left, TreeNode right) {
* this.val = val;
* this.left = left;
* this.right = right;
* }
* }
*/
class Solution {
private boolean result = false;
public boolean hasPathSum(TreeNode root, int targetSum) {
if (root == null){
return result;
}
dfs(root, targetSum);
return result;
}
private void dfs(TreeNode root, int targetSum){
if (root == null || result == true){
return;
}
if (root.left == null && root.right == null && targetSum - root.val == 0){
result = true;
return;
}// 判断叶子节点
dfs(root.left, targetSum - root.val);
dfs(root.right, targetSum - root.val);
}
}
// TC: O(n)
// SC: O(n)
题目要求的能拐弯吗? 不能-> case b
/**
* Definition for a binary tree node.
* public class TreeNode {
* int val;
* TreeNode left;
* TreeNode right;
* TreeNode() {}
* TreeNode(int val) { this.val = val; }
* TreeNode(int val, TreeNode left, TreeNode right) {
* this.val = val;
* this.left = left;
* this.right = right;
* }
* }
*/
class Solution {
public boolean hasPathSum(TreeNode root, int targetSum) {
if (root == null){
return false;
}
if (root.left == null && root.right == null && root.val == targetSum){
return true;
}
int sum = 0;
return helper(root, sum, targetSum);
}
public static boolean helper(TreeNode root, int sum, int targetSum){
// base case
if (root == null){
return false;
}
sum = sum + root.val;
if (root.left == null && root.right == null){
if (sum == targetSum){
return true;
}else{
return false;
}
}
if (root.left == null){
return helper(root.right, sum, targetSum);
}
if (root.right == null){
return helper(root.left, sum, targetSum);
}
return (helper(root.left, sum, targetSum) || helper(root.right, sum, targetSum));
}
}
// TC: O(n)
// SC: O(n)