450 Delete Node in a BST
Given a root node reference of a BST and a key, delete the node with the given key in the BST. Return the root node reference (possibly updated) of the BST.
Basically, the deletion can be divided into two stages:
- Search for a node to remove.
- If the node is found, delete the node.
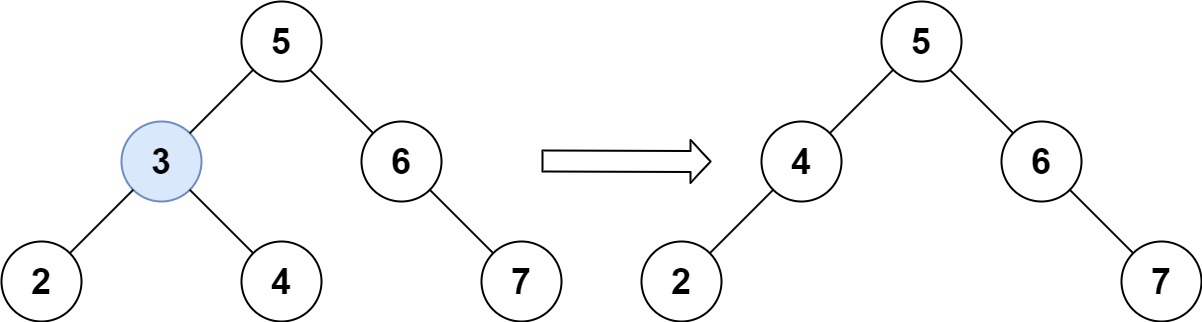
Example 1:

Input: root = [5,3,6,2,4,null,7], key = 3
Output: [5,4,6,2,null,null,7]
Explanation: Given key to delete is 3. So we find the node with value 3 and delete it.
One valid answer is [5,4,6,2,null,null,7], shown in the above BST.
Please notice that another valid answer is [5,2,6,null,4,null,7] and it's also accepted.
Example 2:
Input: root = [5,3,6,2,4,null,7], key = 0
Output: [5,3,6,2,4,null,7]
Explanation: The tree does not contain a node with value = 0.
Example 3:
Solution:
/**
* Definition for a binary tree node.
* public class TreeNode {
* int val;
* TreeNode left;
* TreeNode right;
* TreeNode() {}
* TreeNode(int val) { this.val = val; }
* TreeNode(int val, TreeNode left, TreeNode right) {
* this.val = val;
* this.left = left;
* this.right = right;
* }
* }
*/
class Solution {
public TreeNode deleteNode(TreeNode root, int key) {
// case base
if (root == null){
return root;
}
if (root.val == key){
// case 1
if (root.left == null && root.right == null){
return null;
}else if (root.left == null){ //case 2
return root.left;
}else if (root.right == null){ //case 3
return root.left;
}else if (root.right.left == null){
root.right.left = root.left;
return root.right;
// case 4
// root.left != null && root.right !=null
// case 4.1
/*
3 7
/ \ / \
1 7 -> 1 8
/ \
8
*/
}else{
//if (root.right.left != null){
TreeNode newRoot = smallest(root.right);
newRoot.left = root.left;
newRoot.right = root.right;
return newRoot;
/*
3 7 c p 4
/ \ / \
1 7 -> ( 4 c s 8 ) ->
/ \
4 8
*/
}
}else {// root.val != key
if (root.val < key){
root.right = deleteNode(root.right, key);
}else if (root.val > key){
root.left = deleteNode(root.left, key);
}
}
return root;
}
private static TreeNode smallest(TreeNode root){
TreeNode cur = root;
TreeNode prev = null;
while(cur.left != null){
prev = cur;
cur = cur.left;
}
TreeNode smallest = cur;
prev.left = cur.right;
return smallest;
}
}
/*
root == null
return
if root.val == key
// case1 :
5 5
/ \ key =3 -> \
3 6 6
root.left == null && root.right == null
// case2:
5 5
/ \ / \
3 6 -? 2 6
/
2
root.left != null && root.right == null
return root.left;
// case 3
5 5
/ \ / \
3 6 -? 4 6
\
4
root.left == null && root.right != null
retur root.right;
// case 4
5 5
/ \ / \
3 6 -? 4 6
/ \ /
1 4 1
case4.1 root.right.left == null && root.right.right == null
root.right.left = root.left;
return root.right;
case4.2 8 8
/ \ / \
3 9 -? 4 9
/ \ / \
1 4 1 5
\
5
root.right.left == null && root.right.right != null
root.right.left = root.left
return root.right;
case4.3 root.right.left != null && root.right.right != null
root.right.left != null && root.right.right == null
8 8
/ \ / \
3 9 -? 4 9
/ \ / \
1 7 1 7
/ /
5 (p) 5 (p)
/ \ / \
4(s) 6 4.5 6
\
4.5
step 1: find the smallest
step 2: detele from subtree and
if (s.right have something if should be connect to parents)
if root.val != key
if (root.val < key){
root.right = deleteNode(root.right, key);
}
if (root.val > key){
root.left = deleteNode(root.left, key);
}
return root;
*/
// TC:O(logn) worst case O(n)
// SC: O(h)