129. Sum Root to Leaf Numbers
You are given the root of a binary tree containing digits from 0 to 9 only.
Each root-to-leaf path in the tree represents a number.
- For example, the root-to-leaf path
1 -> 2 -> 3represents the number123.
Return the total sum of all root-to-leaf numbers. Test cases are generated so that the answer will fit in a 32-bit integer.
A leaf node is a node with no children.
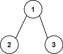
Example 1:

Input: root = [1,2,3]
Output: 25
Explanation:
The root-to-leaf path 1->2 represents the number 12.
The root-to-leaf path 1->3 represents the number 13.
Therefore, sum = 12 + 13 = 25.
Example 2:

Solution:
/**
* Definition for a binary tree node.
* public class TreeNode {
* int val;
* TreeNode left;
* TreeNode right;
* TreeNode() {}
* TreeNode(int val) { this.val = val; }
* TreeNode(int val, TreeNode left, TreeNode right) {
* this.val = val;
* this.left = left;
* this.right = right;
* }
* }
*/
class Solution {
private int result = 0;
public int sumNumbers(TreeNode root) {
if (root == null){
return result;
}
dfs(root, 0);
return result;
}
private void dfs(TreeNode root, int cur){
if (root == null){
return;
}
cur = cur * 10 + root.val;
if (root.left == null && root.right == null){
result = result + cur;
return;
}
dfs(root.left, cur);
dfs(root.right, cur);
}
}
// TC: O(n)
// SC: O(n)
/**
* Definition for a binary tree node.
* public class TreeNode {
* int val;
* TreeNode left;
* TreeNode right;
* TreeNode() {}
* TreeNode(int val) { this.val = val; }
* TreeNode(int val, TreeNode left, TreeNode right) {
* this.val = val;
* this.left = left;
* this.right = right;
* }
* }
*/
class Solution {
int total = 0;
public int sumNumbers(TreeNode root) {
if (root == null){
return Integer.MIN_VALUE;
}
if (root.left == null && root.right == null){
return root.val;
}
int sum = 0;
helper(root, 0);
return total;
}
private void helper(TreeNode root, int sum){
if (root == null){
return;
}
sum = sum * 10 + root.val;
if (root.left == null && root.right == null){
total = total + sum;
return;
}
helper(root.left, sum);
helper(root.right, sum);
return;
}
}
// TC: O(n)
// SC: O(n)