25. Reverse Nodes in k-Group
Given the head of a linked list, reverse the nodes of the list k at a time, and return the modified list.
k is a positive integer and is less than or equal to the length of the linked list. If the number of nodes is not a multiple of k then left-out nodes, in the end, should remain as it is.
You may not alter the values in the list's nodes, only nodes themselves may be changed.
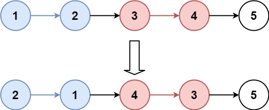
Example 1:

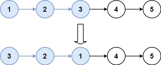
Example 2:

Constraints:
- The number of nodes in the list is
n. 1 <= k <= n <= 50000 <= Node.val <= 1000
Follow-up: Can you solve the problem in O(1) extra memory space?
Solution:
iterative:
/**
* Definition for singly-linked list.
* public class ListNode {
* int val;
* ListNode next;
* ListNode() {}
* ListNode(int val) { this.val = val; }
* ListNode(int val, ListNode next) { this.val = val; this.next = next; }
* }
*/
class Solution {
public ListNode reverseKGroup(ListNode head, int k) {
int n = 0;
ListNode cur = head;
while(cur != null){
cur = cur.next;
n++;
}
ListNode dummy = new ListNode(-1);
dummy.next = head;
ListNode p0 = dummy;
ListNode pre = null;
cur = head;
while(n >= k){
n = n - k;
for (int i = 0; i < k; i++){
ListNode next = cur.next;
cur.next = pre;
pre = cur;
cur = next;
}
ListNode next = p0.next;
p0.next.next = cur;
p0.next = pre;
p0 = next;
}
return dummy.next;
}
}
// TC: O(n)
// SC: O(1)
recursive:
/**
* Definition for singly-linked list.
* public class ListNode {
* int val;
* ListNode next;
* ListNode() {}
* ListNode(int val) { this.val = val; }
* ListNode(int val, ListNode next) { this.val = val; this.next = next; }
* }
*/
class Solution {
public ListNode reverseKGroup(ListNode head, int k) {
if (head == null){
return head;
}
ListNode curr = head;
ListNode dummy = null;
ListNode prev = null;
int count = 0;
while(curr != null && count < k){
curr = curr.next;
count++;
}
curr = head;
if (count == k){
count = 0;
while(curr != null && count < k){
dummy = curr.next;
curr.next = prev;
prev = curr;
curr = dummy;
count++;
}
}else{
prev = head;
}
if (dummy != null){
head.next = reverseKGroup(dummy, k);
}
return prev;
}
}
// TC: O(n)
// SC: O(n)