2246. Longest Path With Different Adjacent Characters
You are given a tree (i.e. a connected, undirected graph that has no cycles) rooted at node 0 consisting of n nodes numbered from 0 to n - 1. The tree is represented by a 0-indexed array parent of size n, where parent[i] is the parent of node i. Since node 0 is the root, parent[0] == -1.
You are also given a string s of length n, where s[i] is the character assigned to node i.
Return the length of the longest path in the tree such that no pair of adjacent nodes on the path have the same character assigned to them.
Example 1:

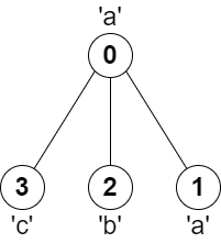
Input: parent = [-1,0,0,1,1,2], s = "abacbe"
Output: 3
Explanation: The longest path where each two adjacent nodes have different characters in the tree is the path: 0 -> 1 -> 3. The length of this path is 3, so 3 is returned.
It can be proven that there is no longer path that satisfies the conditions.
Example 2:

Input: parent = [-1,0,0,0], s = "aabc"
Output: 3
Explanation: The longest path where each two adjacent nodes have different characters is the path: 2 -> 0 -> 3. The length of this path is 3, so 3 is returned.
Constraints:
n == parent.length == s.length1 <= n <= 1050 <= parent[i] <= n - 1for alli >= 1parent[0] == -1parentrepresents a valid tree.sconsists of only lowercase English letters.
Solution:
思路一: 遍历x的子树, 把最长链的长度都存到一个列表中, 排序, 取最大的两个.
思路二: 遍历x的子树的同时求最长+次长

如何一次遍历找到最长+次长?
- 如果次长在前面, 最长在后面, 那么遍历到最长的时候就能算出最长+次长
- 如果最长在前面, 次长在后面, 那么遍历到次长的时候就能算出最长+次长
class Solution {
int result = 0;
public int longestPath(int[] parent, String s) {
int n = parent.length;
Map<Integer, List<Integer>> graph = new HashMap<>();
for (int i = 1; i < n; i++){ // 0是根结点 这条边不存在
graph.putIfAbsent(parent[i], new ArrayList<>());
graph.get(parent[i]).add(i);
}
dfs(0, graph, s);
return result + 1;
}
private int dfs(int x, Map<Integer, List<Integer>> graph, String s){
if (!graph.containsKey(x)){
return 0;
}
List<Integer> cur = graph.get(x);
int maxLen = 0;
for (int i = 0; i < cur.size(); i++){
int y = cur.get(i);
int len = dfs(y, graph, s) + 1;
if (s.charAt(x) != s.charAt(y)){
result = Math.max(result, maxLen + len);
maxLen = Math.max(maxLen, len);
}
}
return maxLen;
}
}
// TC: O(n)
// SC: O(n)
class Solution {
int result = 0;
public int longestPath(int[] parent, String s) {
int n = s.length();
Map<Integer, List<Integer>> graph = new HashMap<>();
for (int i = 1; i < n; i++){
graph.putIfAbsent(parent[i], new ArrayList<>());
graph.get(parent[i]).add(i);
}
dfs(0, graph, s);
return result + 1;
}
private int dfs(int i, Map<Integer, List<Integer>> graph, String s){
if (!graph.containsKey(i)){
return 0;
}
List<Integer> nei = graph.get(i);
int maxLen = 0;
for (int j = 0; j < nei.size(); j++){
int next = nei.get(j);
int len = dfs(next, graph, s) + 1;
if (s.charAt(i) != s.charAt(next)){
result = Math.max(result, maxLen + len);
maxLen = Math.max(len, maxLen);
}
}
return maxLen;
}
}
// TC: O(n)
// SC: O(n)
/*
0 1 2 3 4 5
[-1,0,0,1,1,2] s = "abacbe"
level
*/