261. Graph Valid Tree
You have a graph of n nodes labeled from 0 to n - 1. You are given an integer n and a list of edges where edges[i] = [ai, bi] indicates that there is an undirected edge between nodes ai and bi in the graph.
Return true if the edges of the given graph make up a valid tree, and false otherwise.
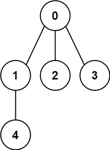
Example 1:

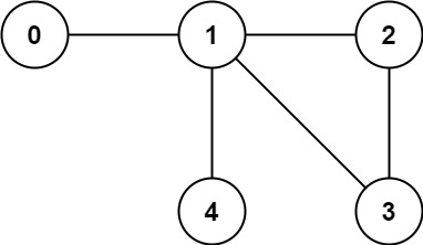
Example 2:

Constraints:
1 <= n <= 20000 <= edges.length <= 5000edges[i].length == 20 <= ai, bi < nai != bi- There are no self-loops or repeated edges.
Solution:
class Solution {
public boolean validTree(int n, int[][] edges) {
Map<Integer, List<Integer>> graph = new HashMap<>();
for (int i = 0; i < n; i++){
graph.put(i, new ArrayList<>());
}
// 0: 1
// 1:
// 2: 3
// 3:
for (int[] e : edges){
int from = e[0];
int to = e[1];
graph.get(from).add(to);
graph.get(to).add(from);
}//
// 0: 2
// 1: 2
// 2:
Set<Integer> visited = new HashSet<>();
boolean isFindCycle = dfs(0, -1, graph, visited);
if (isFindCycle == true){
return false;
}
if (visited.size() != n){
return false;
}
return true;
}
private boolean dfs(int i, int parent, Map<Integer, List<Integer>> graph, Set<Integer> visited){
if (visited.contains(i)){
return true;
}
// 1, graph, visited
visited.add(i);// 0, 1
// 1
// 0
// 2
List<Integer> next = graph.get(i); // 1
for (int nei : next){
if (nei == parent){
continue;
}
if (dfs(nei, i, graph, visited) == true){
// 1, graph, 0
return true;
}
}
return false;
}
}
DFS
class Solution {
public boolean validTree(int n, int[][] edges) {
List<List<Integer>> adj = new ArrayList<List<Integer>>();
for (int i = 0; i < n; i++){
adj.add(new ArrayList<Integer>());
}
// [1,2,3] [0,4] [0] [0] [1]
for (int[] edge : edges){
adj.get(edge[0]).add(edge[1]);
adj.get(edge[1]).add(edge[0]);
}
boolean[] visited = new boolean[n];
// 0 1 2 3 4
// T T T T T
int index = 0;
int parent = -1;
if (dfs(index, visited, adj, parent)){ // wether has cycle
return false;
}
for (int i = 0; i < n; i++){
if (visited[i] == false){
return false;
}
}
return true;
}
private boolean dfs(int node, boolean[] visited, List<List<Integer>> adj, int parent){
if (visited[node] == true){
return true;
}
visited[node] = true;
for (int next : adj.get(node)){
if (parent != next && dfs(next, visited, adj, node)){
return true;
}
}
return false;
}
}
// TC: O(n)
// SC: O(n)
UnionFind
class Solution {
public boolean validTree(int n, int[][] edges) {
UnionFind uf = new UnionFind(n);
for (int[] edge : edges){
if (uf.connected(edge[0], edge[1])){
return false;
}else{
uf.union(edge[0], edge[1]);
}
}
for (int i = 0; i < n - 1; i++){
if (uf.connected(i, i + 1) == false){
return false;
}
}
return true;
}
}
class UnionFind{
int[] root;
// int[] size;
public UnionFind(int n){
root = new int[n];
for (int node = 0; node < n; node++){
root[node] = node;
}
}
public int find(int x){
while(x != root[x]){
x = root[x];
}
return x;
}
public void union(int x, int y){
int rootX = find(x);
int rootY = find(y);
if (rootX != rootY){
root[rootY] = rootX;
}
}
public boolean connected(int x, int y){
return find(x) == find(y);
}
}
// TC: O(V * E)
// SC: O(V)