666 Path Sum IV
If the depth of a tree is smaller than 5, then this tree can be represented by an array of three-digit integers. For each integer in this array:
- The hundreds digit represents the depth
dof this node where1 <= d <= 4. - The tens digit represents the position
pof this node in the level it belongs to where1 <= p <= 8. The position is the same as that in a full binary tree. - The units digit represents the value
vof this node where0 <= v <= 9.
Given an array of ascending three-digit integers nums representing a binary tree with a depth smaller than 5, return the sum of all paths from the root towards the leaves.
It is guaranteed that the given array represents a valid connected binary tree.
Example 1:

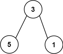
Input: nums = [113,215,221]
Output: 12
Explanation: The tree that the list represents is shown.
The path sum is (3 + 5) + (3 + 1) = 12.
Example 2:

Input: nums = [113,221]
Output: 4
Explanation: The tree that the list represents is shown.
The path sum is (3 + 1) = 4.
Solution
class Solution {
int total = 0;
public int pathSum(int[] nums) {
// base case
if (nums == null || nums.length == 0){
return 0;
}
if (nums.length == 1){
return (nums[0] % 10);
}
// create Map to store the depth position value of node
Map<Integer, Map<Integer, Integer>> map = new HashMap<Integer, Map<Integer,Integer>>();
// depth, position, value
// add the information of the node to the map
for (int i = 0; i < nums.length; i++){
int depth = nums[i] / 100; // 950/100 = 9.5 -> 9
int position = (nums[i]/ 10) % 10; // 215/10 = 21 % 10 = 1
int value = nums[i] % 10;
if (!map.containsKey(depth)){
map.put(depth, new HashMap<Integer, Integer>());
}
map.get(depth).put(position, value);
}
int depth = 1;
int position = 1;
int sum = 0;
helper(depth, position, map, sum);
return total;
}
private void helper(int depth, int position, Map<Integer, Map<Integer, Integer>> map, int sum){
// check wether node exist
if (!map.containsKey(depth) || !map.get(depth).containsKey(position)){
return;
}
// add the current val to sum
int val = map.get(depth).get(position);
sum = val + sum;
// check wether is leaf -> update global total
if (!map.containsKey(depth + 1)
|| (!map.get(depth+1).containsKey(position * 2 -1) && !map.get(depth+1).containsKey(position * 2)) ){
total = total + sum;
}
helper(depth +1, position * 2 -1 , map, sum);
helper(depth +1, position * 2, map, sum);
return;
}
}
// TC: O(n)
// SC: O(n + n) = O(n)
//TC: O(n)
//SC: O(n)