207. Course Schedule
There are a total of numCourses courses you have to take, labeled from 0 to numCourses - 1. You are given an array prerequisites where prerequisites[i] = [ai, bi] indicates that you must take course bi first if you want to take course ai.
- For example, the pair
[0, 1], indicates that to take course0you have to first take course1.
Return true if you can finish all courses. Otherwise, return false.
Example 1:
Input: numCourses = 2, prerequisites = [[1,0]]
Output: true
Explanation: There are a total of 2 courses to take.
To take course 1 you should have finished course 0. So it is possible.
Example 2:
Input: numCourses = 2, prerequisites = [[1,0],[0,1]]
Output: false
Explanation: There are a total of 2 courses to take.
To take course 1 you should have finished course 0, and to take course 0 you should also have finished course 1. So it is impossible.
Solution:
DFS:
class Solution {
public boolean canFinish(int numCourses, int[][] prerequisites) {
Map<Integer, List<Integer>> graph = new HashMap<>();
for (int i = 0; i < numCourses; i++){
graph.put(i, new ArrayList<>());
}
// 0:
// 1:
for (int[] prerequisite : prerequisites){
int course = prerequisite[0];
int pre = prerequisite[1];
graph.get(course).add(pre);
}
// 0:
// 1: 0
Set<Integer> visited = new HashSet<Integer>();
Set<Integer> curPath = new HashSet<Integer>(); // curpath
for (int i = 0; i < numCourses; i++){
if (dfs(i, graph, visited, curPath) == true){
// true there is cycle
return false;
}
}
return true;
}
private boolean dfs(int course, Map<Integer, List<Integer>> graph, Set<Integer> visited, Set<Integer> curPath){
if (curPath.contains(course)){
return true;
}
if (visited.contains(course)){
return false;
}
curPath.add(course);
for (int nei : graph.get(course)){
if (dfs(nei, graph, visited, curPath) == true){
return true;
}
}
curPath.remove(course);
visited.add(course);
return false;
}
}
// TC: O(V + E)
// SC: O(V + E)
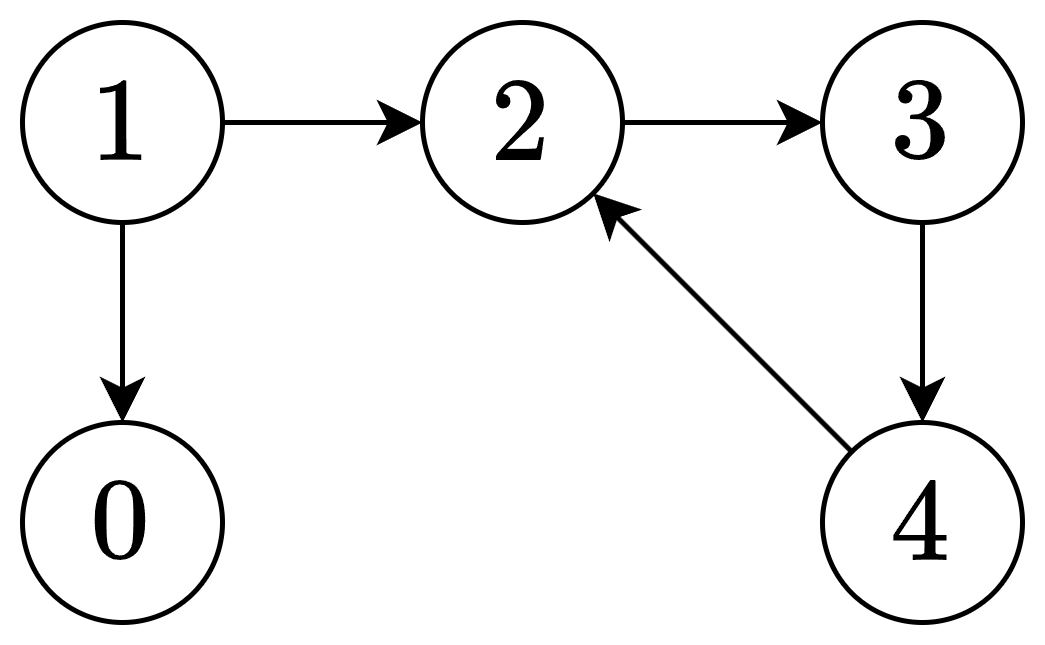
如果在递归过程中,发现下一个节点在递归栈中(正在访问中),则找到了环。

例如 1→2→3→4→2,走到 4 的时候,发现下一个节点 2 在递归栈中(正在访问中),那么就找到了环。
注:我们说节点 x「正在访问中」,是说我们正在递归处理节点 x 以及它的后续节点,dfs(x) 尚未结束。
具体思路 对于每个节点 x,都定义三种颜色值(状态值):
0:节点 x 尚未被访问到。 1:节点 x 正在访问中,dfs(x) 尚未结束。 2:节点 x 已经完全访问完毕,dfs(x) 已返回。
⚠误区:不能只用两种状态表示节点「没有访问过」和「访问过」。例如上图,我们先 dfs(0),再 dfs(1),此时 1 的邻居 0 已经访问过,但这并不能表示此时就找到了环。
class Solution {
public boolean canFinish(int numCourses, int[][] prerequisites) {
// Create Array of Lists -> adj matrix of graph
// 这个列表的每个元素都是一个列表,用来表示图的邻接表
List<List<Integer>> adj = new ArrayList<List<Integer>>(numCourses);
//图中的每个顶点对应一门课程,每个顶点的邻接表存储了所有需要先修的课程
for (int i = 0; i < numCourses; i++){
adj.add(new ArrayList<>());
}// [[], [], [], [],[] ]
for (int[] prerequisite : prerequisites){
adj.get(prerequisite[1]).add(prerequisite[0]);
}
// [[0,1],[0,2],[1,3],[1,4],[3,4]]
// [0,1] prerequisite[1] = 1, preequisite[0] = [[], [0], [], [],[] ]
// index i need is adj.get(i) prerequisite
// 遍历每个先修关系, 构建图的邻接表: 对于先修关系[a,b]
// 将a添加到b的邻接表中, 表示要学习a, 你必须先完成b
// Array index是课程adj.get[]的先修课
boolean[] visit = new boolean[numCourses];
// 用于标记某个节点(课程) 在dfs过程中是否被访问
boolean[] inStack = new boolean[numCourses];
// 用于标记节点在当前DFS路径中是否出现, 以帮助检测环.
for (int i = 0; i < numCourses; i++){
if (dfs(i, adj, visit, inStack)){
return false;
}
}
// 遍历每个节点(课程), 使用dfs方法进行深度优先搜索. 如果发现环, 则表示课程安排不可能完成, 返回false
return true;
}
public boolean dfs(int node, List<List<Integer>> adj, boolean[] visit, boolean[] inStack){
if (inStack[node]){
return true;
}// 如果当前节点已经在栈中(即当前dfs路径上), 说明发现了一个环
if (visit[node]){
return false;
}// 如果当前节点已经被访问过, 且没有在当前dfs路径上, 则没有发现环
visit[node] = true;
inStack[node] = true;
// 标记当前节点为已经访问, 并将其加入当前dfs路径
for (int neighbor : adj.get(node)){
if (dfs(neighbor, adj, visit, inStack)){
return true;
}
}
// 遍历当前节点的所有邻接节点(即需要先修的课程), 递归地进行DFS. 如果在任何邻接节点的搜索中发现了环, 则当前
// 的DFS耶应该返回true;
inStack[node] = false;
// 当前节点的所有邻接节点都被访问后, 将其从当前dfs路径中移除.
return false;
}
}
// TC: O(V+E) // prerequisites数组长度为E, E事变得数量, 徐阿姨哦为每个先修条件添加一条边
//DFS: 需要访问图中的所有顶点和边. 每个顶点被访问一次, 每条边也在DFS过程中被考察一次. 因此, 这个步骤
// 的时间复杂度是O(V+E), 其中V是顶点(课程)的数量, E是边(先修条件)的数量
// SC: O(V+E)
class Solution {
public boolean canFinish(int numCourses, int[][] prerequisites) {
int[] indegree = new int[numCourses];
List<List<Integer>> adj = new ArrayList<List<Integer>>(numCourses);
for (int i = 0; i < numCourses; i++){
adj.add(new ArrayList<>());
}
for (int[] prerequisite : prerequisites){
int course = prerequisite[0];
int prerequisiteCourse = prerequisite[1];
adj.get(prerequisiteCourse).add(course);
indegree[prerequisite[0]]++;
}
Queue<Integer> queue = new LinkedList<>();
for (int i = 0; i < numCourses;i ++){
if (indegree[i] == 0){
queue.offer(i);
}
}
int nodesVisited = 0;
while(!queue.isEmpty()){
int node = queue.poll();
nodesVisited++;
for (int neighbor : adj.get(node)){
indegree[neighbor]--;
if (indegree[neighbor] == 0){
queue.offer(neighbor);
}
}
}
return nodesVisited == numCourses;
}
}
// TC: O(m+n)
// SC: O(m+n)
https://leetcode.com/explore/learn/card/graph/623/kahns-algorithm-for-topological-sorting/3886/

Kahn's
class Solution {
public boolean canFinish(int numCourses, int[][] prerequisites) {
return kahnTopologicalSort(numCourses, prerequisites);
}
private boolean kahnTopologicalSort(int numCourses, int[][] prerequisites) {
// 创建图和入度数组 因为入度
Map<Integer, List<Integer>> graph = new HashMap<>();
int[] inDegree = new int[numCourses];
// 初始化图结构
for (int i = 0; i < numCourses; i++) {
graph.put(i, new ArrayList<>());
}
// 填充图和计算每个节点的入度
for (int[] prerequisite : prerequisites) {
int course = prerequisite[0];
int pre = prerequisite[1];
graph.get(pre).add(course); // 课程依赖关系 因为入度
// pre -> course
inDegree[course]++; // 记录课程的入度
}
// 使用队列存储入度为 0 的节点
Queue<Integer> queue = new LinkedList<>();
// 将所有入度为 0 的课程加入队列
for (int i = 0; i < numCourses; i++) {
if (inDegree[i] == 0) {
queue.offer(i);
}
}
int count = 0; // 用来记录处理过的节点数
// 处理队列中的节点
while (!queue.isEmpty()) {
int course = queue.poll();
count++;
// 遍历该课程的邻居节点,将它们的入度减 1
for (int neighbor : graph.get(course)) {
inDegree[neighbor]--;
// 如果入度为 0,则加入队列
if (inDegree[neighbor] == 0) {
queue.offer(neighbor);
}
}
}
// 如果所有节点都被处理了,则说明无环,否则有环
return count == numCourses;
}
}