82. Remove Duplicates from Sorted List II
Given the head of a sorted linked list, delete all nodes that have duplicate numbers, leaving only distinct numbers from the original list. Return the linked list sorted as well.
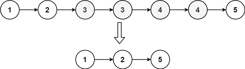
Example 1:

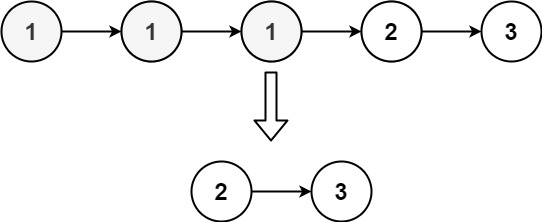
Example 2:

Constraints:
- The number of nodes in the list is in the range
[0, 300]. -100 <= Node.val <= 100- The list is guaranteed to be sorted in ascending order.
Solution:
/**
* Definition for singly-linked list.
* public class ListNode {
* int val;
* ListNode next;
* ListNode() {}
* ListNode(int val) { this.val = val; }
* ListNode(int val, ListNode next) { this.val = val; this.next = next; }
* }
*/
class Solution {
public ListNode deleteDuplicates(ListNode head) {
ListNode dummy = new ListNode(-1);
dummy.next = head;
ListNode cur = dummy;
while(cur.next != null && cur.next.next != null){
int val = cur.next.val;
if (cur.next.next.val == val){
while(cur.next != null && cur.next.val == val){
cur.next =cur.next.next;
}
}else{
cur =cur.next;
}
}
return dummy.next;
}
}
// TC: O(n)
// SC: O(1)


/**
* Definition for singly-linked list.
* public class ListNode {
* int val;
* ListNode next;
* ListNode() {}
* ListNode(int val) { this.val = val; }
* ListNode(int val, ListNode next) { this.val = val; this.next = next; }
* }
*/
class Solution {
public ListNode deleteDuplicates(ListNode head) {
ListNode dummy = new ListNode(-1);
dummy.next = head;
ListNode cur = dummy;
while(cur.next != null && cur.next.next != null){
int val = cur.next.next.val;
if (cur.next.val == val){
while(cur.next != null && cur.next.val == val){
cur.next = cur.next.next;
}
}else{
cur = cur.next;
}
}
return dummy.next;
}
}