637. Average of Levels in Binary Tree
Given the root of a binary tree, return the average value of the nodes on each level in the form of an array. Answers within 10-5 of the actual answer will be accepted.
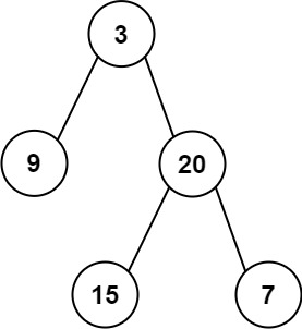
Example 1:

Input: root = [3,9,20,null,null,15,7]
Output: [3.00000,14.50000,11.00000]
Explanation: The average value of nodes on level 0 is 3, on level 1 is 14.5, and on level 2 is 11.
Hence return [3, 14.5, 11].
Example 2:

Constraints:
- The number of nodes in the tree is in the range
[1, 104]. -231 <= Node.val <= 231 - 1
Solution:
/**
* Definition for a binary tree node.
* public class TreeNode {
* int val;
* TreeNode left;
* TreeNode right;
* TreeNode() {}
* TreeNode(int val) { this.val = val; }
* TreeNode(int val, TreeNode left, TreeNode right) {
* this.val = val;
* this.left = left;
* this.right = right;
* }
* }
*/
class Solution {
public List<Double> averageOfLevels(TreeNode root) {
List<Double> result = new ArrayList<>();
if (root == null){
return result;
}
Deque<TreeNode> queue = new ArrayDeque<>();
queue.offerLast(root);
while(!queue.isEmpty()){
int size = queue.size();
double curSum = 0;
for (int i = 0; i < size; i++){
TreeNode cur = queue.pollFirst();
curSum = curSum + cur.val;
if (cur.left != null){
queue.offerLast(cur.left);
}
if (cur.right != null){
queue.offerLast(cur.right);
}
}
result.add(((double) curSum / (double) size));
}
return result;
}
}
// TC: O(n)
// SC: O(n)